TPMS硬件设计可靠性研究 -
[导读]据美国汽车工程师学会的调查,美国每年有26万交通事故是由于轮胎气压低或渗漏造车的,另外,每年75%的轮胎故障是由于轮胎渗漏或充气不足引起的。根据我国有关部门的统计,高速公路46%的交通事故是由于轮胎发生故障
据美国汽车工程师学会的调查,美国每年有26万交通事故是由于轮胎气压低或渗漏造车的,另外,每年75%的轮胎故障是由于轮胎渗漏或充气不足引起的。根据我国有关部门的统计,高速公路46%的交通事故是由于轮胎发生故障引起的,其中爆胎一项就占事故总量的70%。同时,随着我国社会经济水平和汽车工业的发展,我国的汽车产销量正逐年提高。根据中国汽车协会的统计,2010年中国汽车产量达到18 264 667辆,同比增加32.44%,而且我国的汽车总量在下个10年还会保持高速增长。因此怎样减少交通事故,最大限度地减少由于轮胎爆胎而引发的交通事故,尤其是防范由此引发的群死群伤事故,已成为社会各界共同关心的课题。轮胎爆胎监测系统能实时监测各个轮胎的压力和温度等数据,对轮胎漏气、气压过高、过低或温度过高进行报警。其工作可有效减少汽车爆胎事故的发生,是汽车安全行驶的有效保证。
本文引用地址: http://www.21ic.com/app/auto/201211/150824.htm
1 系统介绍
目前已经面世的轮胎爆胎预警系统可分为两大类型:一种是间接式,另一种是直接式。间接式主要通过汽车ABS系统的轮速传感器来比较轮胎之间的转速差别,从而间接测量轮胎气压,因准确性较差,现在已逐步淡出市场。直接式主要利用安装在每一个轮胎里面的压力、温度传感器来直接测量轮胎气压和温度,然后通过射频无线通信的方式与装在驾驶室的控制主机通信,主机显示各个轮胎相关信息或进行压力、温度报警,其工作原理如图1所示。

目前,大多数的汽车轮胎都取消了内胎,这为轮胎内置感应传感器的安装带来极大的方便,其产品占有应用市场的绝大多数份额,且发展速度较快,但是在直接式轮胎爆胎预警系统发展和应用过程中,由于其所处环境的复杂性决定其需要更加可靠的硬件设计来维持系统的稳定工作,这其中有2个突出的问题严重制约轮胎爆胎预警系统的发展,一是如何延长系统总的工作时间,二是如何通过检测端射频天线设计来增强数据的有效发射。本文以这两个突出问题为出发点,在轮胎爆胎预警系统硬件设计上进行改进,从而有效地延长系统工作时间和天线射频信号发射可靠性。
2 延长系统工作时间
传统的轮胎气压温度检测端通常将传感器、微控制器、射频天线和电池集中密封在一个电路板上,用铝制螺杆通过轮胎气门嘴固定在轮毂上,检测端电池无法更新,其总工作时间取决于系统功耗大小和电池容量,一旦电池没电,就必须更换新的检测端。这种一次性的做法不仅费工而且运行成本较高,给大范围普及轮胎爆胎预警系统造成很大困难。本文通过设计可更换的轮胎监测端电池结构和采用LF低频唤醒技术降低功耗两种方法来有效延长系统工作时间。
2.1 检测端内置传感器外置电池设计
文中设计一种应用在轮胎检测端的内置传感器外置电池的设计。该设计与传统方法最大的不同之处在于锂电池外置并固定在轮胎气门嘴上,在可靠为测量端提供电源的基础上能确保电池更换方便,可无限延长检测端的工作时间,其具体结构如图2所示。电池的正负极通过特制垫片向传感器供电且彼此用绝缘橡胶垫隔离。当需要为轮胎充气时,只需拧下电池仓,即可直接向轮胎充气。需要强调,由于电池和和传感器等装置的安装,造成轮胎的质量分布不均,在轮胎高速旋转时,不平衡的离心力作用会引起车体振动,影响汽车的操控性能和安全性能。所以使用之前,必须对4个轮胎做静平衡、力偶平衡和动平衡等相关测试。同时还应保证电池耗尽时更换同一厂家同一型号的电池,保证轮胎的各项平衡参数。

2.2 LF低频唤醒装置
延长系统总的工作时间还可以采取降低轮胎测量端电流消耗的方式。即当汽车停止时或低速运行时,系统不需要知道轮胎的各项参数,可以使轮胎检测端进入休眠状态。当系统需要轮胎数据时,可用LF低频唤醒装置唤醒处于休眠状态的轮胎检测端。所谓低频唤醒技术由谐振电路发展而来,如图3所示。图中右边为LC组成的串联谐振电路,它的固有谐振频率为
,当其天线L3接收到这个频率信号时便会使电路发生谐振而产生感应电压。由电磁场理论:r<<λ/2π=c/2πf时,能收到磁场感应。其中λ为信号波长,f为信号频率,c为光速,r为发射与接收之间的距离。该LF低频信号选用125 kHz,根据以上公式其适用距离可达上百米,完全适用于驾驶室与轮胎之间1~2 m的距离。

实际应用中可以利用驾驶室内的控制模块通过三维正交阵列天线(3个天线分别置于x,y和z方向)向各个轮胎方向发射125 kHz LF信号,信号触发轮胎检测模块的LC谐振电路,从而唤醒处于休眠状态的检测端。在这一过程中,经过曼彻斯特编码的串行数据通过LF驱动电路调制到低频的载波,最后功率放大后由低频天线发射出去,检测端接收到低频唤醒信号后,根据信号调理与译码所得指令,进行温度压力测量、数据转换、射频发射和休眠等操作。
文中设计的检测端采用Freeseale公司的MPXY8300A传感器,其自身已集成LF低频唤醒电路。LF低频唤醒发射端采用ATA5275芯片。低频唤醒电路结构如图3所示。此举可通过减少工作时间来降低系统能耗,从而延长轮胎爆胎预警系统的工作时间。
3 轮胎检测端射频天线设计
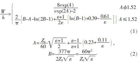
由于汽车本身的电磁干扰严重,加之轮胎处于高速、高温的工作环境,使天线设计成为TPMS系统稳定工作的前提条件。本文为了加强天线传输效率和减小发射端的体积,天线采用直接在PCB板制成的微带天线,此系统选择1/4波长单极印制天线。这种天线的最大特点是可以通过调节长度来适应不同的环境。系统选用频率为433.92 MHz,天线用厚度h=1.6 mm FR4材料制作,电介质常数ε=4.4时,假设网络匹配阻抗为50 Ω,根据天线尺寸公式(1)和(2),得到1/4波长的天线宽度W=1.5 mm,长度L=9.72 cm。

品质因数是天线设计的重要参数,对于固定尺寸的天线,品质参数Q越高,输出的功率就越大,但是天线的传输带宽B却与品质因数成反比关系,过高的品质因数会降低传输带宽,影响数据信息的正确传输,本系统环形天线的品质因数由回路中的总电阻R,射线频率f、环形天线的周长l决定,可表示为公式(3):

文中的TPMS轮胎检测端射频发射电路集成到MPXY8300A芯片中,极大的减少了射频电路的结构。MPXY8300A通过内部一个包含32个8位寄存器的RFX模块来设置各项射频发射参数,其存储器映射结构如图4所示。MCU将存储在$10-$1F中的128位数据通过天线发射出去(315/433 MHz)。其电路原理图及天线尺寸如图5和图6所示。

4 结束语
文中探讨了轮胎爆胎预警系统大发展及应用,并针对硬件设计的稳定性在延长系统工作时间和天线设计2个方面进行了详细的探讨。提出了基于Freescale公司的MPXY8300A传感器的轮胎检测端内置传感器外置电池、LF低频唤醒和433MHz射频天线设计3个方案。这些改进和传统技术相比,在系统功能、实物尺寸和节能降耗上都有所改善,具有一定的实用价值。
查看评论 回复









