汽车电子系统降压型BUCK变换器的设计技巧 -
[导读] 目前高频高效的DCDC 变换器在汽车电子系统中的应用越来越多。
高的开关频率可以使用较小的功率电感和输出滤除电容,从而在整体上减小的系统的尺寸,提高系统的紧凑性,并降低系统的成本;高的工作效率可以提
目前高频高效的DCDC 变换器在汽车电子系统中的应用越来越多。
高的开关频率可以使用较小的功率电感和输出滤除电容,从而在整体上减小的系统的尺寸,提高系统的紧凑性,并降低系统的成本;高的工作效率可以提高汽车电池的使用时间,降低系统的功率损耗,从而减小系统的发热量,优化系统的热设计,并进一步提高系统的可靠性。
但高的开关频率会降低系统的工作效率,因此在设计时必须在开关频率和工作效率之间作一些折衷处理。本文主要针对DCDC 降压型BUCK 变换器应用于汽车电子系统时,探讨包括上述问题在内的一些设计技艺和注意事项,而且这些问题往往是工程现在设计时容易忽略的细节。
1 实际的最小及最大输入工作电压
1.1 开关频率
开关频率必须在效率,元件的尺寸,最小的输入与输出电压差,最大输入电压之间进行折衷处理。高的开关频率可以减小电感和电容的值,因此可以使用较小体积和尺寸的电感和电容,并降低成本。但高的开关频率会降低效率,并降低实际的最大的工作输入电压,以及要求更高的输入输出电压差。
最高的开关频率可以由下式计算:

其中: f S(MAX )为最大的开关频率,tON(MIN) 为开关管要求的最小的导通时间, VD 为续流二极管的正向压降, VOUT 为输出电压, VIN 为正常工作的输入电压, VDS (ON ) 为开关管的导通压降。
上式表明: t ON(MIN) 一定时,低的占空比要求更低的开关频率才能保证系统安全的操作。同样的,低的开关频率允许更低的输入输出电压差。
输入电压依赖于开关频率的主要原因在于PWM控制器的具有最小的开通t ON(MIN) 和最小关断时间 t OFF(MIN) 。如果其取值为150ns,也就是说开关管开通时导通时间至少要持续150ns , 低于150ns 可能导致MOSFET无法正常的开启;同样的,开关管关断时关断的时间至少要持续150ns,低于150ns可能导致MOSFET无法正常的关断。这意味着最小的占空比和最大的占空比为:

上式表明:开关频率降低时占空比的范围增加,优化的开关频率必须保证系统具有足够的输入工作电压范围,同时使电感和电容尽量的小。
1.2 实际的最大输入工作电压
通常芯片的输入电压有一定额定的工作电压范围,除了额定的工作电压的限制,实际的输入工作电压还要受到其它一些条件的限制。最小的实际输入工作电压通常由最大的占空比来决定。BUCK 变换器的占空比为:

在输入电压最高时,占空比最小。最大的实际输入工作电压由PWM控制器最小的占空比决定:

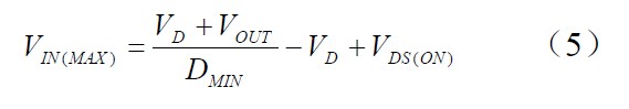
如果输出在起动或短路的工作条件下,输入的电压必须低于以下的计算结果:

由此可知:低的开关频率可以在更高的输入电压时安全的操作。最短导通时间 t ON(MIN) 是每个控制器能够接通高端MOSFET的最短持续时间。它由内部定时延迟以及接通高端MOSFET所需要的栅极电荷量决定。低占空比的应用可以接近该最短导通时间限制,并应注意确保:

如果输出的电压处于调节的状态,系统也不是起动和短路状况,输入电压大于允许的实际最大输入工作电压,系统仍然可以工作,而与工作频率无关。在这种状况下,占空比降到最短接通时间能调节的水平以下,控制器将开始进入跳脉冲工作方式,即一些脉冲将被跳掉以维持输出电压的调节,此时输出的电压和电流纹波比正常工作状态时输出的电压和电流纹波大。
通常,当峰值检测电压下降时, 每个控制器的最短接通时间将逐步增加,如在轻负载条件下,最短接通时间将逐步增加,在具有低纹波电流的强制连续操作应用中这一点特别重要,在这种情况下占空比降至最短接通时间限制以下,就会发生明显的跳脉冲现象,电流和电压的纹波会明显的的增加。另外,电感的饱和电流通常取输出电流的1.3倍以上,对于一些恶劣的工作条件如起动和输出短路以及高的输入电压,电感的饱和电流必须取更大的值,以保证系统安全的工作。
通常开关频率是固定,但是一些使用外部电阻设置开关频率的同步BUCK 控制器可以加一个稳压管Z1 和限流电流R1 实现在输入电压增加时,降低开关频率,从而扩大输入电压的范围,如图1 所示。

图1:高输入电压时降频工作电路
这个电路带来的问题时,在高输入电压时,由于频率降低,而电感值又一定,所以输出的电流和电压纹波增加。频率在较宽的范围内变化,电感无法优化的工作,环路的补偿无法优化。通过增加稳压管Z2 和限流电流R2 来设定系统的最低工作频率,从而限制频率变化的范围。
1.3 实际的最小的输入工作电压
在输入电压最低时,占空比最大。使用同步BUCK 控制器,最小的实际输入工作电压由PWM 控制器最大的占空比决定:

最小工作电压与最小关断时间 t OFF(MIN) 的关系为:

由上式可知: t OFF(MIN)一定时,高的开关频率将增加实际的最小的输入工作电压。若要更低的输入工作的电压,可以使用低的开关频率。在一些同步BUCK 控制器中,当输入和输出的压差降低到一定的值时,系统将进入占空比为100%的全导通或LDO 控制方式。
2瞬态最大峰值输入电压
随着电池供电设备越来越多进入移动应用领域,人们使用汽车的点烟器接通电源以使电池组在汽车行驶期间储存电能甚至再充电。但接通前,注意:在接通到极恶劣的电源上,汽车内的主电源电缆产生一些潜在的瞬变,包括负载突降及电压电压倍增。负载突降是电池电缆松动的结果。当电缆连接中断时,交流发电机中的磁场会会产生一个高达60V 的正尖峰电压,它能在几百毫秒中衰变。电池电压倍增是24V跳跃式起动时性能比12V 更快让冷车发动的结果。
图2 是保护DCDC 转换器不受汽车电源线损坏的最简单直接的方法。
瞬态抑制器在负载突降期间对输入电压进行箝位。注意:瞬态抑制器不应在双倍电池电压操作时导通,但仍必须将输入电压箝位在转换器的击穿电压之下。

图2:输入TVS 保护电路
陶瓷电容的尺寸小,阻抗低,工作的温度范围宽,很适合应用汽车电子中BUCK 变换器的输入端旁路电容。但是在BUCK 变换器的输入端插入工作的电源时,即热插入,如汽车的点烟器,这些陶瓷电容会产生应用的问题:低损耗的陶瓷电容与连接线的杂散电感由低阻抗的电源形成欠阻尼谐振环,产生振荡,在BUCK 变换器的输入端产生二倍的输入电源电压的尖峰,从而超过BUCK 变换器的输入端允许的额定电压,损坏器件。在这种工作条件下,必须设计输入的吸收网络阻止输入电压的过冲尖峰。下面的的波形展示了BUCK 变换器由一根6 英尺的双绞线连接到24V 电源时的波形。图3 是输入仅加4.7uF 陶瓷电容的响应。输入电压的振铃的峰值为50V,输入电流的峰值为26A。

图3:输入仅加4.7uF陶瓷电容的响应
使用阻尼振荡可以降低峰值的电压,形成阻尼振荡有二个方法:①输入的陶瓷电容增加一个串联电阻;②使用电解电容。铝电解电容有高的ESR,可以形成阻尼,减小振荡的过冲;其电容可以滤除低频的纹波,此外,对系统的效率稍有提高。只是其体积相对较大。图4为一个22uF的电解电容和一个4.7uF的陶瓷电容并联加在输入端时的响应,陶瓷电容滤除高频纹波。输入电压的峰值明显降低。

图4:输入为22uF电解电容并联4.7uF陶瓷电容的响应
在输入端加一个0.7欧姆的串联电阻也可以减小电压过冲,同时减小峰值的电流,0.1uF小的陶瓷电容滤除高频纹波。如图5(a)所示。
与电解电容方法相比,这种方法体积小成本低,在高的输入电压时对系统的效率影响并不大。但输入电压相对较低时,系统的效率略有降低。

(a)

(b)
图5:输入加串联电阻的响应
3 散热设计
功率MOSFET 选择标准中包含导通电阻 R DS (ON ) ,密勒电容C MILLER ,输入电压和最大电压和最大输出电流。CMILLER 可由MOSFET 的产品数据手则给出的栅极充电曲线近似求出。C MILLER 等于栅极电荷沿横轴的增加,而曲线大约由VDS 的规定变化水平分割,然后由此结果与应用中施加的VDS 和栅极的充电曲线规定VDS 比值相乘。工作CCM 时高端和低端的MOSFET 占空经由下式给出:
主开关管占空比:D = VOUT /VIN。
同步开关管占空比:V IN -VOUT /VIN 。
最大输出电流条件下MOSFET 的功耗由下式给出:

式中:δ是R DS (ON ) 的温度系数, R DR约为4 欧姆,是在MOSFET 密勒门限电压条件下有效驱动电阻, V THMIN是典型的MOSFET 的最小门限电压。
两个MOSFET 均具有I2R 损耗,而高端N 沟道的公式中包含一个用于计算转换损耗的附加项,这在高输入电压条件最大。当VIN<20V时采用较大的MOSFET 通常可提高大电流的效率,而当VIN>20V 时转换损耗迅速增加。这时采用具有较高 R DS (ON )器件和较低 C MILLER实际上可提供更高的效率。同步MOSFET 在高输入电压下,当高端工作于低占空比时或短路期间,同步管接近100%时间里处于导通状态时,此时损耗最大。1+δ 项通常以一个归一化的 R DS (ON ) 与温度的关系曲线形式提供给MOSFET,但对于低压MOSFET,δ =0.005/℃可被用作一个近似值。
肖特基二极管在两个功率MOSFET 导通期间的死区导通,可以防止低端MOSFET 的体内二极管导通,在死区时间储存电荷,形成反向恢复。在高VIN 条件下会导致效率减小至少3%。由于流过的平均电流相对较小,因此采用1 或3A 的肖特基二极管是一个较好的方案。
较大的二极管因其具有的结电容较大故会产生额外的转换损耗。
效率与芯片的最高工作温度相关。汽车电子所用的芯片通常为I或H级,对于I级,芯片的结温必须小于125°C,对于H级,芯片的结温必须小于150°C。对于许多单芯片的BUCK控制器,在低的环境温度下,结温一般不是问题。但对于I级,环境温度高于85°C时,必须小心仔细的进行电路的设计以保证芯片能够充分的散热。对于H级,环境温度高于125°C时,必须对最大的允许工作电流进行降额设计。
结温通过芯片的功率损耗乘以结到环境的热阻Rja进行计算。满载时芯片的温升几乎完全不依赖于输入电压,不加散热器时,热阻取决于PCB的设计。在单芯片底部通常有一个裸露的衬垫,因此设计PCB时必须在对应的位置也相应的制作这样的一个大铜皮焊盘,同时这个大焊盘通过一些过孔连接到其它的地层平面,以利于散热。
4 输入短路和反接保护
如果电感的饱和电流足够大,BUCK控制器短路时由于具有短路保护功能,因此不会产生损坏。在一些电池充电系统中以及用电池作备份的系统中,电池以及其它的一些电源通过二极管以“与”的形式一起共同连接到BUCK控制器的输出端时,当BUCK控制器输入端断开时,输出端仍有高的电压。注意到BUCK控制器通常有一个/SHDN管脚到控制系统的工作与关断,低电平有效,通常以作SS软起动功能。一般此管脚通过一个电阻或直接连接到输入端。当输入端浮空时,输出电压通过电感,内部高端的MOSFET反向并联寄生二极管到输入端,/SHDN管脚为高电平,这样,BUCK控制器内部的电路通过电感从输出电压吸取几个毫安的静态的工作电流,影响电池的使用时间。当然如果/SHDN管脚为低电平,则此静态的工作电流为0。如果输入短路,输出电压通过电感,内部高端的MOSFET反向并联寄生二极管到输入端,从而导致输出电压也短路,这样电池将会快速的放电。下图就是防止电池在输入短路状况下反向放电的保护电路,D4也防止输入的反接,只有在有输入电压里系统才工作。

图6:防止输入短路时输出备份电池反向放电电路
结论
1 合适的开关频率可以保证系统具有足够的输入工作电压范围,同时使电感和电容的尺寸和体积最小。
2 实际最大的输入工作电压由MOSFET所要求的最短导通时间决定,实际最小的输入工作电压由MOSFET所要求的最短关断时间决定。
3 必须抑制输入瞬态电压,检查散热设计,增加输入短路和反接保护电路才能保证系统的安全工作。
查看评论 回复
"汽车电子系统降压型BUCK变换器的设计技巧 -"的相关文章
- 上一篇:装甲车辆防撞预警系统设计 -
- 下一篇:汽车应用中的EMI兼容性测试 -









