不用电解电容也能构建LED驱动电路 - 数模混合 -
摘要:针对现有LED驱动电路存在电解电容限制寿命的不足,提出了一种无电解电容的LED驱动电路的设计方法。该方法采用Panasonic松下MIP553内置PFC可调光LED驱动电路的芯片,与外部非隔离底边斩波电路合成作为基本的电路结构,输出稳定的电流用以满足LED工作的需要。同时设计保护电路来保护负载。实验结果表明,控制器芯片能稳定工作,并且可以实现27V的恒压输出和350mA的恒流输出。
LED(发光二极管)以其节能、环保、高亮度、长寿命等诸多优点成为新一代的绿色照明光源。随着LED照明技术的日渐成熟,它终将用于生活的各个方面,并成为照明光源的新宠。然而,高效率、低成本、高功率因数和长寿命的驱动电源是LED灯发光品质和整体性能的关键。
现在市面上替代一般灯泡的LED灯是白炽灯泡寿命的约40倍,相当于4万小时。由于LED是直流电流驱动零件,通过流过的电流,直接将电能转变为光能,因此也称为光电转换器。因为不存在摩擦、机械损耗,所以在节能方面比一般的光源的效率高。但是,当AC电源接通时,一般是使用整流零件和平滑回路的直流稳定化电源,该平滑回路中必要的电解电容会因周围的温度及自身的发热而上升10℃,而导致寿命减半所以电解电容阻碍了LED照明器具的寿命。
为了提高驱动电源的寿命、简化电路、降低成本以及提高功率密度,有必要去掉电解电容,为此文中提出一种无电解电容的高亮度LED驱动电源。
1 LED电源的基本工作原理

采用BUCK变换器、IPD控制实现开关电源,输出恒定的电流和电压,驱动LED灯。电路的总体框图如图1所示。
主电路部分,在市电之后紧接着接了一个滤波器,它的作用是滤除电源中的高次谐波以及电源中的浪涌,使得控制电路受电源的干扰小。输入整流部分采用一体式的整流桥,通过二极管的单向导通的特性将电平在零点上下浮动的交流电转换为单向的脉动的直流电,再在滤波电容和电感的作用下,输出直流电压。经过MIP553和BUCK电路的调节和控制后输出供LED使用的电压。
2 LED电源的具体设计
2.1 输入电路的设计
为了延长LED驱动电源的使用寿命,使之与LED相匹配,必须要去除电路中的电解电容。
电路的设计指标为:输入交流电压Vm:198-264VAC/50Hz;输出电压Vo:27VDC;输出电流Io:0.35A.
输入电路包括噪声滤波装置、安全保险装置以及输入整流装置,如图2所示。

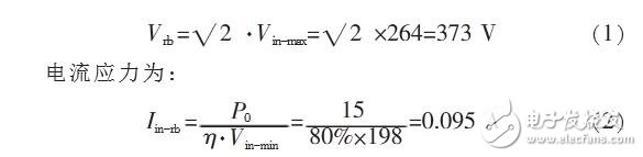
噪声滤波装置主要由电容C1/C2/C3和电感L1组成,其作用是在小于1MHz的频段内,能够减少电磁干扰(EMI )。此装置也可以链接在AC交流之后,整流装置之前,其滤波效果是一样的。安全保险装置由保险丝和ZNR1组成,保险丝主要防止有危害电路的尖峰电流产生的时候迅速切断电路以保护负载;ZNR1是浪涌吸收器,对于来自输入端的静电和浪涌进行吸收,以此来保护后面的电路。输入整流装置,是将交流电转换成直流电,输入整流桥的选择:整流桥二极管的电压应力为:

考虑裕量,选用TSC GBL205(VR=600V,IFAN=1A)。
2.2 输出电路的设计
输出电路由基本的BUCK电路和一个稳压二极管DD1组成。如图3所示。
2.2.1 BUCK变换器及其优势
Buck变换器又称为降压变换器、串联开关稳压器、三端开关型降压稳压器,是一种输出电压等于或小于输入电压的单管非隔离DC/DC变换器。

工作中的输入电流is,在开关闭合时,is》0;在开关打开时,is=0,故is是脉动的,但输出电流io在电感、二极管、电容的作用下却是连续的、平稳的。特别适合为LED提供工作电流。
FRD1的选择标准:额定电流大于2倍的输出电流,额定电压大于输入电压,其反向恢复时间也要在 100ns以内,考虑裕量,FRD1的参数为:15A,600V,trr=50ns.用类似的方法选择T1和Cout,那么其参数分别为:T1:680μH;Cout:1μF,50V.
2.2.2 稳压二极管DD1
在低输入电压的某范围内,若没有像DD1的这种反向装置,那么在开关关断的瞬间将会有反向电流流过IPD,而IPD是不允许有这种电流的,因为这种反向电流将会导致IPD的损坏。
DD1所受到的各应力:IDD》2·Io=2×0.35=0.7A,UDD》Uo,反向恢复时间trr《100ns.考虑裕量,其选择的参数为:3A/60V/75ns.
2.2.3 保护电路
MIP553内置过压、过流、过热、LED短路的保护电路,但并无LED开路时保护电路的设计。LED开路时的保护电路的思想主要有稳压二极管保护、三极管保护、偏压线圈保护等,考虑到成本和结构,文中选择具有稳压二极管的保护电路。其电路图如图3所示。当LED开路时,输出电压上升,若输出电路有稳压二极管的保护电路,那么稳压二极管将LED的电压嵌位在二极管的压降之下,这样就能防止输出电容的毁坏。
2.3 控制电路的设计
控制电路由MIP553及其外围电路组成,如图4所示。
MIP553芯片实现宽电压85~277V/AC输入,内置MOS,结构简单、稳定,可不需要电解电容,支持隔离或非隔离方案,单电源输出功率6~30W,恒定电流输出《1A.电源具有过压、过流、过热保护功能,安全稳定性高,体积小,发热量低,电源效率≥80%,功率因数≥95%,THD《20%.

MIP553的漏极电流由引脚CL和EX控制,因此连接这两个引脚的电阻RCL、REX的设置将直接影响漏极电流的大小。最大漏极电流可由REX来确定,考虑到这个最大漏极电流要流经LED,因此设置参考值时应该注意。
REX=(VDD(ON)-VEXH)/IEX=(6.5-2.8)/103=36kΩ (3)
其中,假设输入电压100V,输出电压28V,电流:400mA,最大漏极电流设为1.0A.
CVDD、CEX、CCL的作用是稳定MIP553的运行、抑制外部噪声。因此,其值要选择得当。 CVDD,稳定VDD的电压、抑制LED的闪烁,特性不受温度影响、不产生额外的噪声,参考标准值为1~10μF之间;CEX,抑制外部噪声进入EX引脚,其参考标准值在470~1000pF之间;CCL,抑制外部噪声进入CL引脚,如果其值太大的话,那么pF值将会受到严重的影响,因此其值应小于 1000pF.
2.4 仿真结果
利用Multisim对电路进行仿真,得到的结果如图5所示。

从图5中可以看出,输出电压稳定在27V,电流稳定在0-35A,符合设计要求。
3 LED电源的挑战
LED作为新型的电光源,在制作大型发光立体字和发光标识中有着明显的优势,其控制电压低,成本低,可靠性高。虽然LED产品在国内外市场有着愈演愈烈的发展趋势,但是LED照明毕竟是新兴的产业,目前还没有广泛的普及,因此LED驱动电源不可避免的在各方面存在着挑战:首先,由于LED的正向电压会随着电流和温度而变化,其“色点”也会随着电流和温度而漂移,为了保证LED的正常工作,就要求其驱动器无论在输入条件和正向电压如何变化的情况下都要限制电流。其次,如果需要LED调光,通常采用的是脉宽调制调光技术,典型的PWM频率是 1~3kHz.最后,LED驱动电路的功率处理能力必须充足,且功能强固,可以承受多种故障条件,易于实现。
4 结束语
LED是一种节能、高效、环保的绿色照明,对它的驱动电路研究非常重要。文中介绍了利用MIP553进行设计的LED驱动电源,并通过仿真证明了其输出电流的稳定性,有很好的应用前景。
查看评论 回复









