反相加法运算电路,反相积分运算电路(含分析和计算公式) - 数模混
来源: 网络用户发布,如有版权联系网管删除 2018-09-29
集成运算放大器是一种高增益的直流放大器。它有两个输入端,一个输出端。
外接负反馈电路后能够完成反相比例,同相比例,加法、减法、乘法,微分、
积分等运算功能。现简介其中几种。?
⒈ 反相比例运算?
原理图如图13—1(a)所示,由反相端输入信号VI,则有?


图13—1 集成运放几种运算电路?
(a)反相比例运算 (b)同相比例运算?
(c)反相加法运算 (d)反相积分运算?
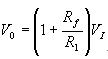
⒉ 同相比例运算?
原理如图13—1(b)所示,由同相端输入信号VI,则有
⒊ 反相加法运算?
原理如图13—1(c)所示,由反相端分别输入两信号VI和VI2。?
当R1=R2=R时,有
当R1≠R2时,有 
⒋ 积分运算?
原理如图13—1(d)所示,由反相端输入一方波,则有
查看评论 回复









