一款多功能逆变电源的设计方案 - 数模混合 -
引言
随着现代科技的发展,逆变电源广泛应用到各行各业,进而对其性能提出了更高的要求。传统的逆变电源多为模拟控制或数字相结合的控制系统。好的逆变电源电压输出波形主要包括稳态精度高,动态性能好等方面。目前逆变器结构和控制,能得到良好的正弦输出电压波形,但对突变较快的波形,效果不是很理想。
函数信号发生器,是实验教学中常用的设备。能产生不同频率和电压等级的波形:方波信号,三角波,正弦信号波形。近年兴起的一种新的DDS技术,即直接数字频率合成技术。但是他们都为小信号波,没有功率输出,不能带一定的负载。
本文提出的多功能逆变电源,主电路采用二重单相全桥逆变器结构,输出的电压波形对给出的参考波形跟踪,有功率输出,能带一定的负载。控制采用加入微分环节的滞环控制,完全实现数字化控制。
主电路设计
多功能逆变电源原理如图1,有两部分组成:主电路和控制部分。其中主电路的参考信号,可以与计算机通信或者其他电路得到。

图1:多功能逆变电源原理
在主电路的设计上借鉴了多重逆变器结构,采用了二重单相全桥逆变器连接。原理图如图2.两个逆变器直流侧电压不相同,主逆变器的直流侧电压为Udc,从逆变器的直流侧电压为3Udc.输电电压波形共有9个电平组成:±4Udc,±3Udc,±2Udc,±Udc,0.由于输出电平的数量多于单个逆变器,输出波形较好。主逆变器工作为较高频率,从逆变器工作频率较低,极大的降低开关损耗。在参考波形变化缓慢阶段,只需要主逆变桥工作,就能很好的跟踪参考信号;当参考信号变化相当快速的时刻,需要辅助逆变桥和主逆变桥同时工作,快速精确跟踪参考信号。

图2:二重级联单相全桥逆变器拓扑
控制设计
在控制部分采用滞环完全数字化控制。滞环控制响应速度快、准确度较高、跟踪精度高,输出电压不含特定频率的谐波分量等特点,能够使用DSP实现数字化控制。对于主电路的主逆变器和从逆变器采用滞环控制。

图3:滞环控制原理
如图3所示,主开关的滞环宽度为h,从开关管的滞环宽度为hs,且hs》h.主逆变器一直工作,开关管V1和V4;V2和V3交替导通关断。从逆变器有三种工作状态。在t1~t2时刻,误差电压并没有超过从逆变器的滞环宽度,只需要主逆变器工作,四个开关管都关断;在t3时刻,误差电压△u》hs,开关管 VS2和VS3导通,开关管VS1和VS4关断;t4时刻误差电压-△u《-hs开关管VS1和VS4导通,开关管VS2和VS3关断。
考虑到跟随突变信号时跟随困难的情况,在滞环控制器前引入了微分环节,如图4所示,以改善跟随效果。

图4:带微分环节的滞环控制
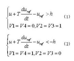
引入微分环节后,根据图1和图2所示,对主逆变器滞环控制策略为:

式中:T为微分时间常数。
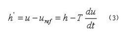
上述不等号取等号情况,则实际环宽h′为:

当稳态或者电压变化率不大时微分环节很小,可忽略,h′较大;当电压突变时微分环节将很大,不能忽略,h′较小,u迅速跟踪Uref.加入微分环节实际上就是改变滞环宽度。从逆变器滞环控制也采用相同原理。
仿真
利用Matlab,根据所提出主电路和控制设计建立模型。对图1的二重级联单相全桥逆变器进行仿真,负载为阻感型。
参考信号为正弦波,周期T为0.02s,最大值为50V.输出电压波形如图5所示。

图5:参考信号为正弦波输出电压
参考信号为三角波,电压最大值为70V,输出电压如图6所示。

图6:参考信号为三角波输出电压
从图5和图6看出,当参考信号为变化不是很快的正弦波和三角波信号时,逆变电源的输出电压能精确跟踪。
参考信号为阶梯波,输出电压波形如图7所示。

图7:参考信号为方波输出电压
参考电压信号为方波时,电压值为70V.输出电压波形如图8所示。

图8:参考信号为方波输出电压
当参考信号为阶梯波或方波,方波和阶梯波有突变时刻,逆变电源的输出电压也能很好跟踪参考信号。从图7和图8看出,输出电压是质量很好的阶梯波和方波,可作为电压源使用。
结论
多功能逆变电源,主电路采用二重级联单相全桥逆变器结构,输出的电压波形对给出参考波形跟踪,有功率输出,能带一定的负载,可直接作为电压源使用。控制采用加入微分环节的滞环控制,完全实现数字化控制。最后通过Matlab仿真,证实设计方案的多功能逆变电源是可行的。
查看评论 回复









