采用FPGA实现多项式运算 - FPGA/ASIC技术 -
传统的DSP都基于CPU结构,是一种基于特定指令系统的处理器,但随着运算时钟越来越接近电子器件可以接受的极限,这种DSP的处理能力也在接近它的极限;另一方面随着EDA技术的发展,尤其像FPGA和CPLD器件的成熟和应用,可以通过直接设计电路来实现并行的运算,这样运算的效率从本质上得到了提高,而且目前能实时地实现非常复杂的运算,所以基于FPGA的运算器被提上议事日程,并受到越来越多的重视。一种便于用电路实现而且通用性强的算法,可以帮助工程师简单高效地完成一个能在FPGA上工作的运算器的设计。
1 数字电路实现运算的优缺点
初步的FPGA设计是用硬件描述语言完成器件逻辑功能的描述,一个好的设计必须考虑数字电路的特点。CPU是一个典型的数字电路,因为其只能做加法运算,所以需要通过程序将各种运算都转换为加法来完成。传统的“数值分析”正是在这种程序设计的基础上形成的,不但复杂而且效率不高,不能实现真正的实时运算,而FPGA本身除了能做加法运算外,做无符号数的减法和乘法也很方便。目前两大FPGA生产商推出的集成开发软件中,都有集成的加、减法和乘法的IP核,运算效率非常高,对于无符号数的运算一般只要1个时钟,甚至是不需要时钟的组合逻辑电路,文献中也有这些运算器的详细介绍。但是直接做除法则不同,虽然也有除法IP核,但是需要许多个时钟,而且占用逻辑资源很多,无论设计还是应用都不方便。电路运算的另一个缺点是表示有符号数和小数,以及做有符号小数间的运算也很麻烦。所以在设计DSP时总是希望能够找到一种方法尽量的趋易避难。
2 麦克劳林级数和多项式
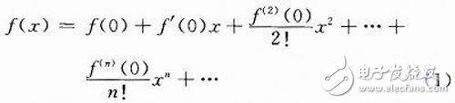
运算器的作用是对数据进行各种运算,这个过程可以用一个函数来表示:y=f(x)。任何一个在零附近连续的函数都可以展开为麦克劳林级数:

大部分常用函数的高阶导数项很小或者为零,所以在精度允许的范围内取其中的有限项就可以,即用一个多项式做近似运算,多项式运算的特点在文献中有详细介绍。用FPGA实现多项式的运算,处理很多复杂的函数将会十分方便。
y=a0+a1&TImes;x+a2&TImes;x2+…+an&TImes;xn (2)
本文讨论的是一种可以用FPGA或CPLD实现多项式(2)运算的运算器。对于简单的多项式可以是一个组合逻辑电路,不需要时钟,所以运算效率很高。这样许多运算都可以简单而且高效的完成。
3 运算器设计
3.1 四则运算电路
文献中瞄述了各种无符号整数间的运算电路。虽然也可以进行用反码表示的符号数的运算,但不倾向于使用。因为需要做四则混合运算;反码易于做加、减法,但不易做乘、除法。而用非反码的带符号位的数据,符号位做单独计算,其余数据做无符号运算,整个计算结构是最简单的。另外即便是无符号数做除法也很复杂,不过考虑到有种特殊的除法运算除外,那就是对于二进制数去掉最末位就相当于除以2。所以运算时可以尽量避免除以非2倍数的数,以此来简化计算。
表示小数在计算中是必须的。文献中介绍了二进制定点小数,比如需要保留数的2位二进制小数位,可以将二进制小数“…b3b2b1.a1 a2”表示为:

运算中还是可以视为对整数的计算。这样用无符号的定点数进行计算,配合独立的符号位表示正负,就可以用简单的无符号运算器进行复杂的运算。
3.2 多项式的变换
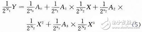
式(4)为一个3次多项式,以它为例来介绍设计方法:
y=a0+a1&TImes;x+a2×x2+a3×x3 (4)
首先将式(4)中所有的数都用一个符号位加无符号二进制形式表示。分别用N1,N2表示y和x中包含的小数位数,可以将式(4)写成:

式中:X,Y是x,y去掉小数点后的整数(注:这里和式(3)一样只是去掉小数点,不是去掉小数位)。A0,A1,A2,A3作为系统的常数也是一样;n0,n1,n2,n3分别是a0,a1,a2,a3二进制形式的小数位数。可以进一步变换式(5)为:

不难发现式(6)是很容易实现的。先进行各项符号位的计算,然后就只剩下无符号整形数据计算;而且除法全是除以2的倍数。最后各项之间根据符号位做加、减运算就得到输出Y,是带符号有N1位小数的定点数。
查看评论 回复









