无线传感网络时间同步研究进展与分析 -
[导读]摘要:简要阐述近年来无线传感网络时间同步算法的发展情况和影响无线传感网络时间同步的因素后,重点介绍了目前几种比较典型的时间同步算法,并对其精度、功耗以及各自的优缺点进行了较详细的分析。在特定的网络中,
摘要:简要阐述近年来无线传感网络时间同步算法的发展情况和影响无线传感网络时间同步的因素后,重点介绍了目前几种比较典型的时间同步算法,并对其精度、功耗以及各自的优缺点进行了较详细的分析。在特定的网络中,应该对精度与功耗进行折中考虑。最后探讨了未来可能的发展方向。
关键词:时间同步;典型时间同步算法;误差分析
引言
保持节点之间时间上的同步在无线传感器网络中非常重要,它是保证数据可靠传输的前提。NTP协议是目前因特网上采用的时间同步协议标准,功耗大,采用有线传输,不适合用于功耗、成本受限制的无线传感网络中。GPS系统也可以提供高精度的时间同步,但它的信号穿透性差,GPS天线必须安装在空旷的地方,功耗也较大,所以不适合无线传感网络。
Elson等人2002年首次提出无线传感器网络时间同步的研究课题以来,已有相当多的典型时间同步算法,主要可以分为以下几类:基于发送者一接收者的双向同步算法,典型算法如TPSN(Timing-Sync Protocol for Sensor Networks)算法;基于发送者一接收者的单向时间同步算,典型算法如FTSP(Flooding Time Synclaronization Protocol)算法、DMTS(Delay Measurement Time Synchronization)算法;基于接收者一接收者的同步算法,典型算法有RBS(Reference Broadcast Synchronization)算法。
近年来根据以上几种典型同步算法,还有人提出了分簇式的层次型拓扑结构算法,以及结合生成树等来提高整个网络的性能,如LTS(Li-glatweight time synchronization)算法、CHTS(Cluster-based Hierarehical Time Synchronization)算法、CRIT(Chained-Ripple Time Synchronization)算法、PBS(The Pairwise Broadcast Synchronization)算法、HRTS(Hierarchy ReferencingTime Synchronization Pro-toc01)算法、BTS(Broadcasttime synchronization)算法、ETSP(Energy-efficient Time Synchronization Protocol)算法等。
然而,无论以上同步算法怎样发展,精度如何提高,整个网络功耗怎样降低,都是基于单跳时间同步机制。随着无线传感网络的运用与发展,传感节点体积不断缩小,单跳距离变小,整体网络规模变大,同步误差的累积现象必将越来越严重,目前也有比较新的同步算法,试图尽量避开单跳累加来解决这些问题,如协作同步。
1 时间同步
1.1 时间同步不确定性的影响因素
时间同步不确定性的主要的影响因素如图1所示。
本文引用地址: http://www.21ic.com/app/rf/201106/86373.htm

发送时间:发送方用于构造分组并将分组转交给发送方的MAC层的时间。主要取决于时间同步程序的操作系统调用时间和处理器负载等。
访问时间:分组到达MAC层后,获取信道发送权的时间。主要取决于共享信道的竞争、当前的负载等。
传送时间:发送分组的时间,主要取决于报文的长度等。
传播时间:分组离开发送方后,并将分组传输到接收方之间的无线传输时间。主要取决于传输介质、传输距离等。
接收时间:接收端接收到分组,并将分组传送到MAC层所需的时间。接受时间:处理接收到分组的时间。主要受到操作系统的影响。
1.2 典型时间同步算法分析
1.2.1 TPSN算法分析
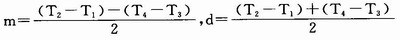
TPSN算法采用的是层次型的网络结构,是基于发送者一接收者的双向同步算法。分成两个阶段,第一阶段为层次发现阶段,第二阶段为同步阶段。T1、T4用来记录同步节点的本地时间,T2、T3用来记录参考节点的本地时问。同步节点A在T1时刻向参考节点B发送一个同步请求报文,报文中包含了同步节点的级别和T1。当参考节点B收到报文后,记录下接收时刻T2,并立即向同步节点A回复一个同步应答报文,该报文中包含了参考节点B的级别和T1、T2及回复时刻T3。同步节点A收到参考节点的回复后,记下时刻T4。假设来回报文的传输延迟相同都为d,且m为同步节点在T1时刻两者之间的时偏,且设来回时偏相同,由T2=T1+m+d,T4=T3-m+d可得到:
![]()
则在T4时刻,若在同步节点A的本地时间增加修正量m,就能达到同步节点A与参考节点B之间的同步。
1.2.2 RBS算法分析
RBS算法是基于接收者一接收者的同步算法。首先参考节点广播一个参考分组,当同步节点A收到这个分组,记下自己的本地时钟为T21,当同步节点B收到这个分组时,也记下自己的本地时钟为T22,然后同步节点A与同步节点B交换本地时钟T21与T22,这时其中一个节点只要根据时间差值m=T21-T22,修改自己的时钟就能达到与另一个节点之间的同步。在多跳网络中,RBS算法采用多次广播同步消息,接收节点根据接收到同步消息的平均值,同时采用最小平方线性回归方法进行线性拟合以减小同步误差。
1.2.3 DMTS算法分析
DMTS算法是基于发送者一接收者的单向时间同步算法。当发送节点在检测到通道空闲时,给广播分组加上时间戳t0,从而排除了发送节点的处理延迟与MAC层的访问延迟。并假设发送报文的长度为NA个比特(包括前导码与同步字),传送每个比特的时间为t,而接收者在接收完同步字后,记录下此时的本地时间为t1,并在调整自己的本地时间记录之前记录下此时的时刻t2,这时接收节点为了与发送节点达到时间上的同步,可以调整接收节点的时间改为t0+t·NA+(t2-t1)。
从参考文献中,可以看出,文章作者在加州大学伯克利分校的Mica节点上测试过,TPSN平均单跳误差为17.61μs,DMTS平均单跳误差为30μs,RBS平均单跳误差为6.29μs,TPSN平均4跳误差为21.43μs,DMTS平均单跳误差为151μs,RBS平均4跳误差为9.97μS。
1.2.4 其他算法分析
LTS协议是基于发送~接收同步机制发展而来,提出了集中式和分布式LTS多跳时间同步算法。LTS协议首先把网络组成广度优先生成树拓扑结构,并沿着树的每条边进行单跳成对同步。参考节点的子节点同步完成后,又以该节点为参考节点,采用同样方式继续同步下去,直到同步完成。
单跳成对同步采用TPSN同步方法。成对同步的次数是边数的线性函数。Hui Dui等人提出来的HRTS利用了广播的特性,只需要一次同步过程可以完成一个单跳组网所有节点的同步,进一步降低了LTS协议的功耗。HRTS算法不再采用广度优先生成树的边,采用的是广度优先生成树非叶子节点个数的线性函数。相较于LTS协议,HRTS算法以牺牲一定的精确来降低了整个网络的功耗。
BTS同步方法类似于HRTS算法,也是先建立广度优先成生树拓扑结构,只不过BTS采用的是时间转换技术,以达到整个网络的时间同步,而HRTS直接对同步节点的本地时间进行修改,得到全网的同步,同步报文个数降为HRTS协议的2/3。
PBS同步算法的思想是参考节点与簇首节点之间采用双向同步方法,与TPSN相似,其他节点(在两个节点的通信范围内)可以侦听到同步消息,就可以根据接收者一接收者同步方法同步。类似于RBS同步,PBS同步的前提是每个同步节点必须在簇首节点的通信范围之内。
ETSP算法主要采用的是设置门槛值N来选择同步算法,当父节点的子节点小于或等于N时,采用接收-接收(RBS)同步模式,否则采用发送-接收(TPSN)同步模式。N值的选择采用
来计算,式中m=Rx/Tx,Rx为节点的接收次数,Tx为传播次数。
FTSP同步算法精度高的原因是,发送者在发送一个同步请求报文时连续标记了多个时间戳,接收者可以根据这几个中断时间计算出更精确的时间偏差。
1.2.5 协作同步技术
以上同步机制,无论怎样改进都是基于单跳同步基制,最近有人提出了协作同步技术,不再单纯地从单跳同步机制上进行改进,而是通过信号叠加原理,使同步基准节点能够把同步消息直接发送到远方待同步的节点,使远方节点直接与基准节点同步,消除了同步误差单跳累加的结果。Hu A等人针对节点密度较高的网络提出了一种协作同步算法,基本思想是参考节点根据同步周期发出m个同步脉冲,其一跳邻居节点收到这个消息后保存起来,并根据最近的m个脉冲的发送时刻计算出参考节点的第m+1个同步消息发出的时间,并在计算出来的时刻同步与参考节点同时发送第m+1个同步消息。由于信号叠加,因此同步脉冲可以发送到更远的节点,当然前提是网络中节点密度较高的情况。A.Kr-ohn等人提出了在物理层上面实现协作同步,只需要本地消息,避免了额外的消息同步交换开销。参考文献证实了协作同步误差的方差与节点密度呈反比关系。因此节点密度越高同步误差也会越小。
2 时间同步算法误差分析与比较
根据节点消息传输过程可以得到式(1)与式(2):

在式(1)、(2)中,t1、t2是由标准时钟所确定的,表示UTC时间。T1、T2分别是t1、t2所对应的本地节点所测出的本地时间。SA代表节点A的报文发送时问,AA是发送报文的访问时间,TA→B是A节点按比特传输报文与B节点按比特接收报文所需要的时间,PA→B是节点A传播到节点B的时间。RB是节点B的报文接收处理过程时间。TN是传输NA个比特的总时间。Terror指传输比特的误差,Rerror打时标过程存在的误差。
代表节点A与节点B在t1时刻的时偏。
对于TPSN算法,因为在MAC采用了加时间戳方法,因此消除了发送时间与访问时间对误差的影响。因此对TPSN算法式(1)、(2)就可以简写为式(3)、(4):

对于DMTS算法,发送节点A在T0时刻检测到空闲,接收节点B在报文到达时刻给报文加上时间戳T1,并在调整自己的本地时间记录之前记录下此时的时刻为T2,在T3时间完成调整。则可以得到:

从式(7)中可以看出,TPSN同步精度高的原因是在MAC层采用打时标方式消除了发送时间与访问时间的影响,并在消息双方向交换时消除了传播时间的影响。缺点是点到点之间的同步,每次只能一对节点进行时间同步,同步一次需要发送2个消息,接收2个消息,功耗较大。从式(10)可以看出DMTS同步误差较大的原因是单播传播,没办法消除Terror与Rerror的影响,但DMTS同步一次只要消耗1个发送消息,1个接收消息,功耗较低。至于FTSP同步算法比DMTS高的原因是,发送者在发送一个同步请求报文时连续标记了多个时间戳,接收者可以根据这几个中断时间,计算出更精确的时间偏差。可以看出,RBS完全消除了发送方的影响,只是同步一次消耗3个发送消息,4个接收消息,功耗较大。而对于HRTS与PBS算法,都是其于以上算法进行融合运用,在簇首节点与子网节点选择上作了较大的改进,以降低整个网络的功耗。
3 总结与展望
从以上同步算法的误差分析比对中可以看出,每种算法都有各自的优缺点,都适合不同的无线传感网络。精度高,相对功耗也较大。对特定的无线传感网络,选择同步算法时应该折中考虑精度与功耗。从整体上看,近年来有关时间同步算法的研究,大部分都是基于以往典型的单跳同步算法原理,进一步从整体网络中考虑误差与功耗,结合最优生成树、分簇路由算法等,以平均整个网络的功耗,降低节点传输的跳数,提高同步的精度。协作同步算法侧重于提高整个网络的可扩展性与健壮性,但要求节点具有相同的同步脉冲,比较困难,目前还需要进一步的发展验证,也是未来可能很好的发展方向。
查看评论 回复









