音频功率放大器的CMOS电路设计 -
[导读]完成了一种桥式连接音频功率放大器的仿真和设计。该音频功率放大器的主体为桥式连接的两个运算放大器,使用尽可能小的外部组件提供高质量的输出功率,不需要输出耦合电容、自举电容和缓冲网络。应用Cadence的Spectre模拟仿真工具进行电路仿真,得到其电路指标如频响特性、电源电压抑制比、总谐波失真等均达到要求。该音频功率放大器具有良好的市场应用前景。
随着集成技术的迅猛发展,体积小巧的便携通信设备有了更加广阔的市场前景。但是对于应用于这些便携式设备中的音频功率放大器芯片则有更加严格的要求。便携式设备体积小,由电池供电,所以要求音频功率放大器芯片有尽可能少的外围设备,尽量低的功耗。此外,对于通信设备而言,在频率217 Hz时会产生CDMA噪声,所以音频功率放大器必须也有较强的电源抑制比(PSRR)。本文中的音频功率放大器就是为了使用尽可能少的外部组件提供高质量的输出功率而专门设计的,它不需要外接自举电容和耦合电容,所以非常适合于移动电话或其他低压设备。
l 电路结构设计
众所周知,AB类功放有比A类功放更高的效率,比B类放大器更低的交越失真。是现在音频功率放大器市场上的主力军。输出运放是整个电路的核心,它的性能直接影响着整个芯片的各性能参数。
1.1 运放结构的选择

本文引用地址: http://www.21ic.com/app/rf/201005/59189.htm
本文中运用两个AB类输出的运放组成桥式结构,如图1所示。第一个放大器的增益可由外部设置,而第二个放大器的增益是内部固定的单位增益。第一个放大器的闭环增益由Rf和RI的比值来确定,第二个放大器的增益由内部两个20 kΩ的电阻固定。图l中可以看出,第一个放大器的输出作为第二个放大器的输入,这样使得两个放大器的输出在幅值上是相等的,而相位上相差180°。因此,整个电路的差分增益为:
![]()
桥式结构的工作不同于经典的单端输出而负载另一端接地的放大器结构。和单端结构的放大器相比,桥式结构的设计有其独特的优点。它可以差动驱动负载,因此在工作电压一定的情况下输出电压的摆幅可以加倍。在相同条件下,输出功率是单端结构的4倍。桥式结构和单端结构相比还有另外一个优点。由于是差分输出,Vo1和Vo2偏置在1/2VDD,因此在负载上没有直流电压。这样就不需要输出耦合电容,而在单电源供电单端输出的放大器中这个电容是必须的,没有输出耦合电容,负载上1/2VDD的偏置可以导致集成电路内部的功耗和可能的响度损失。鉴于以上的种种优点,这里选择的电路结构为,由两个AB类输出运放组成的桥式连接放大器结构。
1.2 放大器电路结构
放大器电路图如图2所示。放大器第一级为折叠共源共栅结构,这种结构改善了两级运算放大器的共模输入范围以及电源噪声抑制特性。它可以看做是一个差分跨导级与电流级级联再紧跟一个Cascode电流镜负载的结构。第二级为AB类推挽式输出,这种输出可以高效地利用电源电压和电源电流。和一般共源共栅放大器所不同的是,在输出端加入了M11,M12,M13,M14四个管子,使单端输出变成了双端输出。这四个管子与偏置电路、第二级的推挽式输出电路共同组成了两个跨导线性环。

跨导线性环是一个通过非线性电路提供线性关系的电路。图2中M21,M13,M23,M24和M22,M12,M25,M26各组成了一个跨导线性环,容易得出:

结果得到了一个与晶体管尺寸有关的电流表达式,由式中可以看出,输出功率管M21的静态电流由M13,M21,M23,M24的宽长比与电流决定,与输入信号无关。因此,预先设定好四个管子的宽长比,给M13,M23,M24以固定的电流,输出功率管的静态电流就被确定下来了。但是运放中加入四个MOS管是否不会影响运放的其他性能。从信号通路的角度看,晶体管M11,M12,M13,M14中只流过直流电流,没有交流电流从中通过,它们屏蔽了交流行为,对来自第一级的电流表现为一个无穷大的交流阻抗。这四个MOS管设置了输出功率管的静态电流,但是对于第一级的增益、带宽均不起作用。所以放大器的增益仍然为:

使用跨导线性环的目的是当一个输出晶体管流过大电流时,防止另一个输出晶体管关断。实际上,当M21流过一个大的输出电流时,M22就有可能被关断。在流过大的输出电流的情况下,至少要保证M22上能流过一个最小的电流,这样就可以减少交越失真并且提高速度。
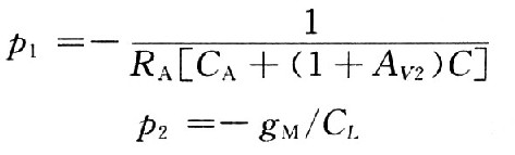
对于这样的多极点两级运放来说,在输出端电阻和电容串联做米勒补偿,以增大相位裕度,提高稳定性。通过频率补偿,两个主极点分别为:

式中:RA是从M9漏端到地的总阻抗;CA是M9漏端到地的总寄生电容;CL是输出端的总电容。p1是第一级放大器的输出端产生的极点,米勒补偿后离原点最近,成为主极点;p2是输出端产生的极点。米勒补偿后离原点较远。同时由于电阻和电容形成了通路,产生一个零点:
![]()
适当调节R,使z=p2,可使零点与第二主极点相互抵消,增加了系统的稳定性。
2 仿真结果及分析

仿真性能参数如表1所示。用Cadence Spectre进行仿真。使用了华润尚华0.5μm的N阱CMOS工艺模型,模拟环境是VDD=5 V,T=27 ℃典型条件。在5 V单电源下驱动8 Ω负载。对于1 kHz,4 V峰一峰值的正弦波激励,仿真得到负载上的电压基波幅度为3.9l V。此时电源消耗的平均功率为3.15 W,功率放大器的效率为60.7%。总谐波失真为0.098%。总体上THD和效率随输入电压变大而增加。放大器频域响应如图3所示。

3 结语
该设计的AB类输出功率放大器电路,采用折叠式共源共栅结构,功率管推挽式输出,同时利用外部电流源供电,采用低压共源共栅电流镜结构的偏置电路。仿真结构表明该运放具有高增益,低输入失调电压,低THD等特点,同时具有良好的频率特性,较低的静态功耗,满足一块高性能的AB类音频功放芯片的要求。
查看评论 回复









