基于CAN的燃气轮机远程监测与诊断系统 -
[导读]GTD一350燃气轮机是国内首次引进的一个独特设计、带自由涡轮的航空燃气涡轮发动机。它是设计用作Mi2型轻量级直升飞机的动力装置。为了在实验室进一步研究其作为联合动力装置原动机的动态特性,设计远程监测诊断系统是
GTD一350燃气轮机是国内首次引进的一个独特设计、带自由涡轮的航空燃气涡轮发动机。它是设计用作Mi2型轻量级直升飞机的动力装置。为了在实验室进一步研究其作为联合动力装置原动机的动态特性,设计远程监测诊断系统是GTD一350燃机安全、可靠运行的重要保证。远程故障诊断技术是在故障诊断技术、计算机技术和网络通信技术发展的基础上,由于工业过程对远程监测与控制的急切需求而迅速发展起来的应用技术。它通过工业局域网/广域网把分布于各个局部现场、独立完成特定功能的设备互联起来,以达到协同工作、集中监测的目的,最大限度地发挥网络的实时性和高效性来完成远程设备的监测与故障诊断。
本文引用地址: http://www.21ic.com/app/rf/201108/90149.htm
1 监测诊断系统设计
1.1 监测诊断系统的组成
本文设计了一种简捷、可靠的基于CAN总线的燃气轮机分布式监测和故障诊断系统,可以方便地调用各种故障诊断方法,实现燃气轮机的状态监测和故障诊断。它主要由传感器子系统、现场采集处理与监测子系统、远程监视子系统、分析诊断子系统和网络子系统等部分组成。综合了信号处理、人工智能、通信、DSP(Digital signal processing)、数据库、计算机网络等成熟的技术,将一个完整的在线监测和诊断任务分解到不同层的计算机上,相互配合,共同实现分布式的监测过程。
1.1.1 远程监视子系统
子系统在设备层,由多个以DSP为核心的嵌人式系统等智能采集处理单元组元。DSP具有高速数字信号处理能力,配合外围的智能传感器和滤波、放大、A/D转换等采集处理电路,采集到燃气轮机的各种在线状态信号,再经过软件滤波等预处理,可获得需要的状态原始数据。然后,根据相关监测算法对这些数据加以处理,最终通过设备层的总线将数据上传到监测诊断层,而某个DSP监测算法要从其他DSP子系统获得相关数据,需要各采集处理子系统之间能相互通信。采用CAN总线将各个现场采集与监测子系统连接起来,组成分布式的现场采集处理与监测子系统。
1.1.2 传感器及信号调理子系统
GTD350燃气轮机信号调理子系统实现信号的隔离、放大、滤波、转换等预处理,采用模块化、总体式设计。由测速模块,振动信号滤波放大模块,温度信号放大模块,压力和流量信号直通模块等模块组成。各模块实现专一的信号调理任务,根据测试信号的不同,可以自由组合,实现信号调理硬件的组态化。
1.1.3 现场采集处理与监测子系统
现场采集处理与监测子系统由DSP、高速A/D数据采集卡和慢变信号A/D采集卡组成。转速和振动信号选用高速A/D同时对通道模拟信号进行同步采样;温度、压力、流量、用慢变信号AID采集卡采集。
现场采集监测子系统实现数据采集、监测、报警和数据存储等功能。采集的数据通过局域网络存储在文件服务器,当网络中断时,数据存人本地磁盘,网络恢复正常后由服务器调用。
1.1.4 分析诊断子系统和网络子系统
在监测诊断层,利用以太网将监测主机、文件服务器、多个诊断控制计算机、数据库等设备连接起来。分析诊断系统包含丰富的分析诊断软件,实现故障的精密诊断、自动诊断和趋势报表分析。监测主机通过通信计算机接收设备层采集的原始数据和处理后的数据,可调用监测界面模块将其显示出来,并进行及时的报警和常规的数据分析。

1.2 监测诊断系统功能
现场采集处理与监测子系统模块:完成该系统的初始化,现场数据的采集和预处理,与CAN总线数据通信。
1.2.1 网络通信模块
通讯任务包括现场采集站定时将机组当前运行参数发送到工程师站。工程师站将控制、采集等运行参数设置命令发送至数据采集站。
工程师站与MIS系统的通讯采用服务器把MIS、工程师连接起来,可用Windows NT命名管道传送实时数据,使MIS站上的工程师可以监视燃气轮机的各种状态。远程网络连接将MIS通过Web服务器建立Intemet连接,可以使现场工程师和诊断中心专家进行在线交流,及时掌握更多的信息,由专家提供诊断结论和治理措施,再将这些结论通过对话服务发送给现场工程师。
1.2.2 数据库模块
数据库模块的设计应采用分散和集中相结合的原则,可以将数据库模块分成两部分:
数据采集站的数据库和诊断中心数据库。数据采集站的数据库设计原则是设计实时数据库,包括振动的各种特征参数、波形数据、频谱数据、温度、压力、转速等。实时数据库采用单链表数据结构设计。诊断中心的数据库按照不同的诊断建立相应的实时、历史数据库,历史数据库采用大型数据库管理系统。
实时数据库接收客户端实时发送的数据,实现远程监测。而历史数据库则主要收集一些与故障相关的特征数据,主要包括:机组启停、升降速、增减负荷时的状态参数,异常工况下的状态参数、部分正常工况下的状态参数、机组其他重要的状态参数和运行参数。
1.2.3 服务程序模块
它是远程诊断中心的重要组成部分。现场工程师和远端专家通过它对状态数据进行分析处理,从而进行故障诊断和制定故障治理策略。实时数据显示分析包括参数设置、稳态和瞬态监测。系统参数对在线监测诊断系统的精度有着重要的影响,不能随意修改,为此给不同级别的用户设定了不同的权限。稳态监测主要是在机组不间断运行时使用,可采用列表的方式显示各种状态参数,并且可以绘制各种图形,有多种反映振动征兆的图形化方法,从实时数据库读出数据然后绘制对应的图形,如振动波形图、振动频谱、升降速波德图、振型图、轴心轨迹图等,专家能够选择其想查看的图形,从而进行经验上的判断。瞬态监测主要实现随机监测和启停机监测,可根据需要设置采样频率、采样长度、数据的存盘方式等,可供分析诊断软件包等检索调用。故障诊断服务主要包括方法、模糊理论、神经网络、遗传算法与概率因果网络相结合理论等建立的各种诊断程序。
2 GTD一350燃机智能故障诊断方法
2.1 基于规则的专家系统诊断方法
基于规则的方法又称产生式方法,早期的故障诊断专家系统都是基于规则的,这些规则是从专家的经验中总结出来,用来描述故障和征兆的关系。
该方法的优点是知识表示简单、直观、形象、方便,使用直接的知识表示和相对简单的启发式知识,诊断推理速度快;要求数据的存储空间相对较小;易于编程和开发出快速原型系统。缺点是知识库覆盖的故障模式有限,对未出现过的和经验不足的故障诊断就显得无能为力;当知识库中没有相应的与征兆匹配的规则时,易造成误诊或诊断失败。
2.2 基于神经网络的诊断方法
从映射的角度分析,故障诊断的实质是建立从征兆到故障源的映射过程。人工神经网络的优点是高度非线性、高度容错和联想记忆等。但是,人工神经网络应用于故障诊断也存在许多不足,诊断方法属“黑箱”方法,不能揭示出系统内部的一些潜在关系,无法对诊断过程给予明确解释。网络训练时间较长,并且对未在训练样本中出现的故障无诊断能力,甚至得出错误诊断结论,这些都增加了神经网络在实际应用中的困难。
2.3 基于遗传算法与概率因果网络结合的故障诊断方法
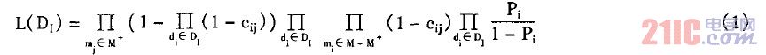
概率因果模型用于汽轮发电机组故障诊断时,具有最大似然值的故障集一定是最可能发生的故障,通过寻找使似然值函数最大的故障集合就可将故障诊断问题转化为非线性全局最优化问题。但各种故障的组合是一个相当大的搜索空间,用数学解析或实验的方法几乎不能求解。而遗传算法具有高度并行性和求解非线性问题的能力,可把遗传算法与概率因果模型相结合,将由概率因果模型得到的似然值函数作为遗传算法的适应值函数,在全局范围内搜索最有可能发生的故障集合。概率因果模型与遣传算法相结合时,染色体串采用二进制编码形式,故障出现为1,未出现为0。适应值函数由下式表示:

式中:D表示可能的故障组合,也就是染色体串中为1所对应的故障;M 表示已知存在的征兆;M代表所有的征兆集;P代表第i种故障所对应的先验概率;c代表第i种故障与第,种征兆之间的因果强度,亦即第i种故障引起第7种征兆发生的可能性大小。
2.4 混合智能故障诊断方法
根据不同的发动机系统参数,结合智能故障诊断方法的特点采用多种方法的诊断系统称为混合诊断方法。具体智能诊断方法的选用原则根据发动机各系统故障的征兆以及故障状态下的历史数据来决定。本研究中GTD一350燃机油路系统故障采用专家系统,根据系统振动检测参数采用神经网络。
3 结语
本文对GTD一350型燃气轮机建立了地面远程监测与诊断系统。此系统的研究是集数据采集、性能分析、故障诊断、人工智能等技术于一体的综合信息处理系统,实现了对GTD一350燃气轮机运行状态的监测和故障诊断。通过与Intemet的连接,实现了远程监测和诊断。非现场运行人员可以直接登陆相关的远程诊断中心的网站进行分析诊断,可提高实时处理效率和分析诊断的准确性,为运行人员和设备管理工程师提供了设备运行状况的科学依据,以便及时发现异常情况,保证设备安全可靠经济运行。
查看评论 回复









