L波段200MHz带宽LNA设计 -
[导读]引言低噪声放大器(LNA)是雷达、通信、电子对抗、遥测遥控等电子系统中关键的微波部件,有广泛的应用价值。由于微波系统的噪声系数基本上取决于前级放大器的噪声系数,因此LNA噪声系数的优劣会直接影响整个系统性能的
引言
本文引用地址: http://www.21ic.com/app/rf/201205/123061.htm
低噪声放大器(LNA)是雷达、通信、电子对抗、遥测遥控等电子系统中关键的微波部件,有广泛的应用价值。由于微波系统的噪声系数基本上取决于前级放大器的噪声系数,因此LNA噪声系数的优劣会直接影响整个系统性能的好坏。低噪声放大器的设计主要包括输入、输出匹配网络和直流偏置网络的设计以及改善晶体管稳定的措施。本文首先介绍放大器提高稳定性的源极串联负反馈原理,然后设计了一个L波段的低噪声放大器实例,并给出了放火器输入、输出回波损耗、增益、噪声系数等参数的仿真结果。
低噪声放大器的设计
本文所设计的低噪声放大器的性能指标为:在1.90GHz~2.10GHz的频段内,功率增益Gp≥30dB,噪声系数NF≤1dB。考虑指标要求,拟采用两级放大级联技术来实现。n级放大器噪声系数可表示为:
![]()
n级放大器噪声系数公式
其中,NF为放大器整机的噪声系数;NF1、NF2…NFn分别是放大器第1级、第2级至第n级的噪声系数;G1、G2、…Gn-1分别是放大器第1级、第2级至第n-1级的功率增益。由公式(1)可知,第一级放大器的噪声系数和增益将直接影响整个放大器的噪声系数。级联低噪声放大器要获得低的噪声系数,选择的放大器第一级晶体管应该在工作频率具有低的噪声系数和较高的增益。设计LNA首先应根据设计指标选择合适的器件,然后根据器件在工作频率的阻抗特性设计输入、输出匹配网络。
由于设计的低噪声放大器的增益指标大于30dB,因此需要使用多级级联的方式来实现。Agilent公司的ATF54143 E-PHEMT晶体管具有高增益和低噪声的特性,适用于频率范围在450MHz~6GHz无线系统的各种LNA电路中。该管子在2GHz频点上的噪声系数是0.5dB,增益为17dB,因此选择了该晶体管作为放大器的第一级;为实现放大器的增益指标,选用MGA86576作为第二级。
源极串联反馈电感对稳定性的影响
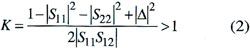
稳定性是LNA电路必须考虑的,放大器的稳定性是指对振荡的抑制水平,必须保证放大器的稳定性,以避免可能出现的自激。在晶体管放人器的二端口网络中,它的两个端口分别接信号源和负载,有了双端口刚路的S参数,可以方便地计算放大器的稳定系数K,稳定性判据如下:

源极串联反馈电感公式
其中△=|S11S22-S12S21|。当K>1且△<0时,放大器处于绝对稳定状态;K<1,电路则潜在不稳定。由于AFT54143在工作频段内不是绝对稳定的,为了提高放大器的稳定性,在输出端并联一个100Ω的电阻。为确保ATF54143在尽可能宽的频带内保持稳定,这里采取源极引入串联感性反馈的方法,电感采用一段很细的微带线来代替,晶体管接入串联反馈电感后的等效电路如图1所示。

晶体管接入串联反馈电感后的等效电路
串联反馈电感LS后,晶体管的输入阻抗Zin可以表示为:

输入阻抗Zin公式
当wLs<

输入阻抗Zin公式
从公式(4)可以看出,在源极串联电感后,可以增加晶体管双端口网络输入阻抗的实部,而虚部基本保持不变,使其逐渐与最佳噪声匹配的阻抗重合;另一方面,增加一个无源元件不会使晶体管的噪声性能恶化。接入源极负反馈后,对ATF54143进行仿真。图2即为晶体管稳定性改善前后的仿真结果图,(a)是末接入源极负反馈时,晶体管在小于3.5GHz的频段内都是不稳定的;(b)是接入源极电感后,ATF54143在1.9GHz~2.1GHz频段范围内都是稳定的。可见采用源极串联负反馈技术后,稳定性因子K在所要求的频率范围内大于1,满足绝对稳定的条件要求。

晶体管稳定性改善前后的仿真结果图
偏置电路的设计
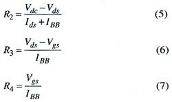
直流偏置电路为放大器提供合适的电压和电流,使得晶体管工作于要求的静态工作点,并在晶体管参数和温度变化的范围内,保持静态工作点的恒定。根据器件特性选择最佳条件,这里选取ATF54143的典型直流工作点参数:VDS=3V,ID=60mA;偏置的方式采用了电阻偏置,它有较好的温度稳定性。
结合上述偏置电路的设计原则和ATF54143的S参数数据,就可设计出如图3所示的直流偏置电路。

直流偏置电路
其中Vdc是馈电电压,其值选5V;Vds是ATF54143的漏源工作电压,大小为3V;Idc是ATF54143静态工作点所需的漏极电流,大小为60mA;IBB是流过R3、R4电阻分压器的电流,它一般至少为门极漏电流的10倍,这里选为2mA;R2的计算则基于Vdc和Idc。由公式(5)、(6)、(7)可计算出R2=32.3Ω,R3=1200Ω,R4=300Ω。R5为高阻态电阻,这里选取R5值为12KΩ,取较大的阻值可以提高晶体管的效率。

晶体管的效率公式
输入、输出匹配网络的设计
低噪声放大器设计中,输入、输出匹配网络的设计是在获得噪声系数、增益指标的前提下,将晶体管的输入阻抗、输出阻抗分别变换到标准的50Ω。通常低噪声放大器的最大增益和最佳噪声系数不可能同时获得,因此,在设计的过程中需要对增益和噪声系数等指标取折衷,以满足设计指标的要求。
设计中采用的基板是厚度为1 mm,相对介电常数为2.7的F4B介质板。第一级放大电路的设计根据ATF54143的小信号S参数计算出放大器中心频率的输入、输出阻抗,输入阻抗Zin=50×(0.999+j3.928E-4),输出阻抗Zout=50×(1.017+j0.064),采用共轭匹配的方法,即ZS=Z*in,ZL=Z*out,从而进行输入和输出匹配电路的设计,并采用ADS软件对设计的匹配网络微带电路尺寸进行优化、仿真。
放大器的噪声系数频率响应如图4所示,从图中可以看出放大器的噪声系数在中心工作频率大约为0.6dB;图5为放大器增益/频率曲线,可以看出,设计的第一级放大器增益在工作频率范围内大于10dB。

放大器的噪声系数频率响应
放大电路第二级的MGA86576由于本身就是一个内匹配的增益模块,可直接与第一级进行级联。但为了减小输入/输出回波损耗,所以在此级放大电路加入了匹配电路的设计,步骤与第一级类似,级间用电容相连。
仿真结果
电路设计完成后,使用ADS软件对设计的低噪声放大器进行仿真,其中,图6为低噪声放大器的噪声系数仿真结果,可以看出在1.90GHz~2.10GHz频段中噪声系数NF≤0.67dB;图7为低噪声放大器的增益特性频率响应,在2.0GHz频点上,增益大约为38dB;图8为整个低噪声放大器的输入、输出回波损耗频率响应,其中的虚线是输入回波损耗,实线是输出回波损耗,在整个工作频段内输入回波损耗小于-15dB,输出回波损耗小于-22dB。
结语
本文介绍了一种采用源极串联负反馈提高低噪声放大器稳定性的方法,并设计了一个中心频率为2GHz、带宽为200MHz的L波段低噪声放大器,仿真结果表明,源极串联负反馈可以提高放大器的低频稳定性。
查看评论 回复
"L波段200MHz带宽LNA设计 -"的相关文章
- 上一篇:EMC设计技术平台设计 -
- 下一篇:IBM ACS屏蔽方案 -









