针对语音信号的低功耗数字接收机解调方案 -
[导读]1 数字前端 该低功耗数字接收机主要是针对语音信号的,要处理的信号都是窄带的。对数字前端中的混频器送出的模拟窄带中频信号进行采样,产生数字窄带中频信号。对该信号进行解调之前,先将频谱搬至零中频处,再进
1 数字前端
本文引用地址: http://www.21ic.com/app/rf/201102/75686.htm
该低功耗数字接收机主要是针对语音信号的,要处理的信号都是窄带的。对数字前端中的混频器送出的模拟窄带中频信号进行采样,产生数字窄带中频信号。对该信号进行解调之前,先将频谱搬至零中频处,再进行滤波,降采样率等处理,如图1所示。

图1中A/D表示模数转换器,LPF表示低通滤波器,fs表示采样率,fo表示最靠近零频处镜像的中频。其中LPF实现如图2所示的功能。设滤出的复数信号采样率降为f's=fs/M。
图2中,细线表示上边带(USB),粗线表示下边带(LSB)。

说明一点,在实际中,上下边带的位置关系要根据模拟信号的中频及采样率fs才能确定,这里为了方便解释,就认为LSB在左,USB在右。
2 解调方案一
以解调上边带为例,如图3所示,设计一个数字带通滤波器,其频响关于中心频率fo'对称,
别为f3,f4,截止频率处的衰减至少为-20 dB。
该带通滤波器的设计步骤如下:
(1)先设计一个低
通滤波器,通带带宽为Δf1=f2-f1,过渡带带宽为Δf2=f1-f3。估算滤波器阶数:N=


(2)将上述的低通滤波器进行频谱搬移即可实现该带通滤波器(BPF),如图5所示。因此滤波器系数:

(3)如果利用FIRS指令实现边带滤波器,那么边带滤波的执行时间会降为原来的一半。但这时要求滤波器的系数是对称的。前面提到的低通滤波器系数是对称的。 为使带通滤波器的系数对称,我们将带通滤波器的系数附加一个相位△φ(n)。即:

的实部和虚部均为正。所以,带通滤波器的系数有这样的特点:实部偶对称,虚部奇对称。
3 解调方案二
还是以解调上边带为例,先搬移待解调信号的频谱,再做低通滤波,最后又将信号的频谱搬移回来,如图7所示。这种方案滤波器的设计思路简单,但要对信号进行两次频谱搬移。

LPF与方案一中所设计的低通滤波器相同。如图8所示,信号被搬至零中频处。

4两种方案的比较
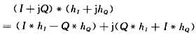
方案一中,带通滤波器在一个时钟周期内进行如下的计算:

其中"*"表示卷积运算,下同。这表示要做4N次乘加运算,考虑到对称性只需要2N次乘加运算。
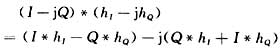
如果信号不是独立边带的,上边带信号解调所用的带通滤波器的系数与下边带信号解调所用的带通滤波器的系数是共轭关系,即hUSB(n)=hLSB*(n),则另外一个边带的滤波计算为:

其结果与前面的成共轭关系,因此,只要得到其中一个边带的实数部分即可得到解调结果。这样只需要N次乘加运算。
如果是独立边带的,上下边带的共轭关系不存在,则解调其中一个边带需要2N次乘加运算,上下边带解调共需要4N次乘加运算。
方案二中,低通滤波器在一个时钟周期内进行如下的计算:
这表示要做2N次乘加运算,考虑到对称性只需要N次乘加运算。
如果信号不是独立边带的,那么同方案一,只需要N/2次乘加运算。如果信号是独立边带的那就上下边带解调共需要2N次乘加运算。
另外两次经过NCO的运算在一个时钟周期内共需要8次乘加运算。
综合来说,就运算开销方面而言方案二要优于方案一。
查看评论 回复
"针对语音信号的低功耗数字接收机解调方案 -"的相关文章
- 上一篇:电源设备中常用的四种变换电路 -
- 下一篇:高频信号放大电路的性能比较分析 -









