用于AC/DC控制器中电压基准源的设计 - 模拟电源 -
2 电路设计
在控制器中电压基准源的电路结构如图1所示,主要包含5个模块:PTAT电流源模块、基准电压模块、内部电源产生模块、电流偏置模块和稳压模块。

图1 电压基准源电路结构
PTAT电流源模块是由电阻R1和R2、三极管Q1~Q4及M1管组成,产生一个与绝对温度成正比的电流为后续电路提供电流或电压偏置。三级管Q1与Q2和Q3与Q4发射结的面积之比为1:2 和2:1.可得PTAT电流为:

在AC/DC变换控制器中,UCC的电压在整个系统正常工作过程中变化很大,从7.5 V 到12.5 V,因此UCC不能作为芯片内部其他电路模块的电源电压。
内部电源电压产生模块由起电流镜像作用MOS管M2和M3、二极管连接的M6~M9管、起电平转移作用的三极管Q5和Q6、对大电流缓冲作用电容C1组成的。
其功能是产生一个与UCC无关且具有大电流驱动能力的电压UDD作为内部电源电压。系统在高压启动完成后会进入正常的工作状态,电流偏置模块通过UB1和UB2端为芯片的其他模块提供电流或电压偏置。Main_con是一个电平控制信号,通过控制开关管M17来控制流过M16管漏极电流的大小。稳压模块是由反向偏置的齐纳稳压二极管D1和D2组成的,稳压模块对输入电压UCC起限压的作用。
电压基准源模块的作用是产生两个基准电压UREF1和UREF2作为后续电路迟滞比较器的参考电压。M4管对M1管进行1:1的镜像,则流过M4管的漏极电流为:

当模块中所有的MOS管都工作在饱和状态时,则电压UREF1和UREF2分别为:

可得UREF1和UREF2的大小与UCC无关。以UREF1为例,要使得UREF1在温度T0时有零温度系数点。在T=T0时,有:

根据2节的原理分析,结合式(1)和式(18)得PTAT电流的温度系数为:

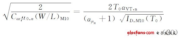
把式(12)和式(19)代入式(13)得:

因此,当M10宽长比的值满足式(20)时,UREF1就近似与温度无关,可作为基准电压。在UREF1确定的基础上,基于相同的原理选取M5的宽长比使得|UGS5|与温度无关,进而产生与温度无关的基准电压UREF2.为了提高基准电压电源的电源电压抑制比(PSRR)和降低输出噪声,增加了由电阻R3、R4和电容C3、C4组成的RC低通滤波器。采用的RC低通滤波器可以改善低通滤波器带宽外的PSRR特性和噪声性能。
3 电路仿真结果
利用Cadence Spectre工具对基准源电压随温度和输入电压UCC的变化情况进行仿真。在电路处于典型的工作状态即输入电压UCC=10 V时,对基准源的温度特性从-20℃~100℃范围内进行直流扫描,仿真结果如图2所示(tt工艺角)。在温度T=35℃附近基准电压UREF1和UREF2具有零温度系数点(ZTC),它们的值分别为1.063 V 和2.499 V.在温度从-20℃变化到100℃时,基准电压UREF1和UREF2电压变化值分别为3.769 mV和7.455 mV,对应的温度系数分别为31.40 ppm/℃和62.12 ppm/℃。因此利用迁移率和阈值电压相互补偿作用产生的基准电压具有较好的温度特性。

图2 基准电压的温度变化特性曲线
当系统正常工作时,在UCC变化范围内对基准电压UREF1和UREF2进行DC直流扫描仿真(tt工艺角),结果如图3所示。在UCC从7.5 V变化到12.5 V时,基准电压UREF1和UREF2的电压变化值分别为1.909mV和5.201 mV,因此可以看出对UCC的直流变化具有很好的抑制作用。为了使基准电压对电源电压UCC的噪声有较好的抑制能力,应确保PSRR大于40 dB。

图3 基准电压随UCC变化特性曲线
在UCC直流电压为10 V时,基准电压UREF1和UREF2对UCC电源电压抑制比(PSRR)的频率特性仿真结果(tt工艺角)如图4所示。在低频段,UREF1和UREF2电源电压抑制比分别为68.5 dB和59.7 dB;随着频率的升高,电源电压抑制比PSRR 逐渐降低。在频率达到261 kHz时,加入了低通RC滤波器开始起作用,提高了高频段的电源电压抑制比。

图4 电源电压抑制比仿真图
4 结 论
在电压基准源的设计中,基于MOS管的迁移率和阈值电压温度系数相互补偿的效应,以PTAT电流源偏置二极管连接的MOS管,产生一个不随温度而改变的栅源电压来作为基准。这种方法实现的基准源具有较低的温度系数和高PSRR,且电路结构简单,满足开关电源AC/DC控制器中对电压基准源的要求。
查看评论 回复









