PWM整流器中相序调整的新方法 - 模拟电源 -
3 相序调整原理
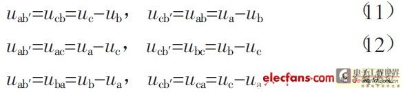
设a,b,c 为电网的三相端,a′,b′,c′为整流器三相输入端,其连接方式有:①a′-a,b′-b,c′-c;②a′-b,b′-c,c′-a;③a′-c,b′-a,c′-b;④a′-c,b′-b,c′-a;⑤a′-b,b′-a,c′-c;⑥a′-a,b′-c,c′-b.连接法①是相位直接匹配,在连接法②,③中,电网和整流器相位依次交错但相序一致,用这3 种连接方法能产生正确的驱动波形,线电压分别为:

连接法④~⑥中,仅两相交错连接,相序改变,从而影响驱动波形的输出,线电压分别为:

式(11)和(8)、式(12)和(9)、式(13)和(10)中线电压互换,又因为式(8)~(10)的输出线电压一致,可推出式(11)~(13)的输出线电压一致,所以整流器的线电压u ab′ ,u cb′ 在6 种进线方式下分别有两种波形且相位差60°,区分这两种波形即可区分接线正确与否。y1=sin(2πt/T+φ),y2=sin(2πt/T+φ+π/3),其中T 为周期,φ 为初相角,y1和y2分别是关于时间t 的函数,且y2比y1超前60°。当t=(T/2π)(2kT-φ-π/3),k=0,1,2…,即y2处于过零点且上升沿位置,此时y1=-√3 /2<0;当t=(T/2π)(2kT-φ),即y1处于过零点且上升沿位置,此时y2=√3 /2>0.同理,当uab′处于过零点且上升沿位置,通过判断ucb′是否大于零就可判断出输入端接线是否正确。当判断接线错误时,互换uab,ucb可将线电压调整正确,α,β 坐标系下的电压为:

互换线电压会导致扇区号呈顺序排列,使电压空间合成矢量的旋转方向也由逆序变成顺序。
为保证电压空间合成矢量按照逆序旋转,可从开关器件切换点的时间T1,T2,T3入手,表1,2 分别为逆序旋转和顺序旋转。
表1 扇区切换点时间(逆序)

表2 扇区切换点时间(顺序)

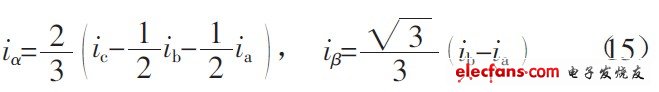
由此可知在互换线电压的基础上还要通过互换切换点时间Ta,Tc,才能使电压空间合成矢量的旋转方向按照逆序旋转。在此线电压是以b 相电压为参考电压,uab,ucb的互换其实也是ua,uc的互换,输入电压与电流相位跟随,所以当判断接线错误时,ia,ic也要互换,α,β 坐标系下的电流iα,iβ为:

4 仿真结果
仿真参数:网侧电感为5 mH,直流侧电容为1 100 μF,开关频率10 kHz,输出功率15 kW.改变整流器输入端的接线,均可得到图2 所示的效果。

图2 仿真波形
5 实验结果
实验参数与仿真参数一致。由于输入端是线电压,直接观察三相坐标系中电压电流的动态变化不方便,所以图3 中显示的是两相静止坐标系中的电压电流及输出的直流侧负载电压。
按照连接法④~⑥进行实验,结果均与图3 一致,说明输入电压与电流跟随且输出直流电压稳定;在15 kW 带载条件下测得的失真度为6.03%.

图3 实验波形
6 结论
针对PWM 整流器输入端的相序进行了研究,提出了一种可自动调整相序的方法。通过互换线电压、AC 相电流与改变扇区号在空间中的排列方向,使整流器在和电网相序不一致的情况下也能正常工作。该方法用在功率为15 kW 中频逆变电源的整流器中,运行良好、稳定。
查看评论 回复









