基于FPGA的IJF数字基带编码的实 - FPGA/ASIC技术 -
1 引言
20世纪80年代初,加拿大渥太华大学的费赫教授(K.Feher)领导的科研小组发明了IJF-OQPSK调制技术。IJF-OQPSK中文名称叫做无码间干扰和抖动-交错正交相移键控。他是现代数字恒包络调制技术中新型的调制技术之一。
进行这种调制时,首先要对数字基带信号进行IJF编码,将其变换成一种无码间干扰和抖动、频谱主瓣窄、具有快速滚降的基带波形,然后再用OQPSK调制。这样,调制后的基带信号就具有了以下特点:以调波的相位平滑连续,而且每个号码内的相位变化不会超过π/2,以调波的包络近于恒包络,频谱主瓣窄,高频滚降快,带外能量低。
2 IJF编码原理
在数字传输系统中,与误码率有直接关系的是接收信号在取样点上的值与理想值的偏差。若排除噪声的影响,则误差主要来源于传输过程中的码间干扰和取样点的定时抖动。在实际工程系统中,用奈奎斯特脉冲代表随机二进制数据,他的主瓣占2b宽度。由于奈奎斯特脉冲拖尾的存在,使得合成波形的过零点向左或右偏移,产生定时抖动。另外,拖尾还会造成波形的幅度起伏,使误码率提高。IJF编码的特点是采用一种新的基带成形脉冲--时限双码元间隔脉冲,因其不存在振荡尾巴,从而消除了码间干扰和定时抖动。
2.1 IJF编码波形--时限双码元间隔升余弦脉冲
双码元间隔升余弦脉冲,当滚降系数a=1时,其表达式为:

其他特性如下:
- 脉冲边缘处,即t=±Ts,其值为零。
- t=±Ts/2处,脉冲幅度为峰值的一半;
- 在t=0处,为脉冲峰值。
如果采用双码元间隔升余弦脉冲代表随机二进制序列中的“1”和“0”,且当前脉冲总是在前一个脉冲的中点开始,可以证明由此得到的代表随机二进制序列的波形,其频谱特性和单个双码元间隔升余弦脉冲的特性一样。
分析双码元间隔升余弦脉冲可知,S(t)为一偶函数,且满足如下2个条件:

以上条件保证了由双码元间隔升余弦脉冲同步叠加厚的随机波形为一连续信号,即S(t)和S(t-Ts)之和,在一个码元间隔内任何时刻均为1;而他们之差为一偶函数。由于双码元间隔脉冲在t≥±Ts时,其值为零,因而不存在码间干扰;t=Ts/2时,幅值为峰值的一半,表示数字1和0的正负脉冲同步叠加后,合成波在Ts/2处总为零。因此过零点固定,也不会产生定时抖动。
2.2 IJF非线性滤波器编码方法
实现IJF编码方法有脉冲叠加法,横向滤波器法和非线性滤波器法等几种。非线性滤波器法实质上是一种分段合成IJF波形的方法。
单码元间隔偶脉冲和奇脉冲,根据式(2)可导出:

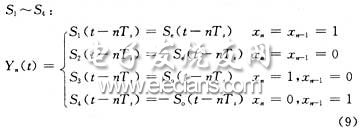
式(6),(7)表达了无符号间抖动和码间干扰的条件。根据随机二进制数据相邻位(bit)的变化,利用式(3),(4)定义的单间隔脉冲,可导出构成IJF编码的4个基本波形函数S1-S4:

式中xn为当前比特,xn-1为前一比特。
设输入的数据(NRZ)信号为:

他是随输入数据变化的随机序列,其波形可视为4个基本波形的组合,即:

由此可得出非线性转换滤波器IJF编码信号形成的方案,如图1所示。

查看评论 回复









