基于智能功率器件的冲击电流问题解决方案 - 模拟电源 -
在汽车的各类控制模块的中,特别是在车身电子控制模块中,车灯在车身电子控制模块的负载中占有很大比重。而当开通车灯时的冲击电流对于设计者来说要更加注意,因为不正确的器件选型和设计会对器件造成永久损害而失效,甚至影响产品的质量。本文以英飞凌公司的智能PROFETBTS5020-2EKA_DS20为例,详细解释了灯泡在冲击电流的物理模型,进而给出了如何在设计中计算冲击电流下验证器件的安全。
冲击电流的产生和负载的种类和特性有关,和通断频率也有关系。特别是在有冲击电流存在的负载的情况请与稳态电流一起测定冲击电流值。下图显示了有代表性的负载种类与冲击电流的关系。

从上表可以看出,当负载为灯泡时,冲击电流是稳态电流的10~15倍,本文讨论的重点为白炽灯。为了更好的理解灯泡的冲击电流,可以通过对白炽灯外部特性,建立关于白炽灯的PSPICE的模型,进而可以通过仿真进行研究冲击电流的特性。以车大灯为例,55W@12V。

上图为需要确定参数的白炽灯的参数模型,下面来把每个参数逐一定义出来。
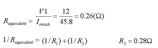
第一步:先计算出稳态下的

第二步:确定R2。在Inrush的初始状态,白炽灯的等效电路呈现出电容的特性:即在很短暂的时间到达峰值电流后,又被衰减成稳态电流。因此,还需要在电容的回路上串联一个电阻(R2)。

第三步:计算电容的值。白炽灯的等效电路上电容电流的衰减可以由下式给出:

(可以认为在10ms的时间后电流达到了稳态电流值,此时的冲击电流已经下降到初始值的约63%。)

下图给出了完成了参数定义的55W白炽灯泡的PSPICE等效模型。

为了验证参数定义的有效性,用PSPICE仿真的结果和实际的测量值相当的一致。需要注意的是,这个模型只是给出了冷态下单次冲击电流下白炽灯的模型。
用PSPICE仿真出来的结果,如下图。

下面来计算冲击电流下BTS5020-2EKA的温升。




以上的分析都是在最差情况下通过,所以可以认为BTS5020-2EKA满足在次应用下瞬时冲击电流下的热温升的要求。
查看评论 回复









