用直流法进行电力系统静态安全分析 - 模拟电源 -
摘 要:介绍了潮流计算的一种方法直流法,并举例说明了用直流法进行静态安全分析的步骤。
关键词:直流法;电力系统;静态安全分析
电力系统静态安全分析是应用电力系统的实时数据,对一组可能出现的假想事故进行分析的在线模拟计算过程,用以校核事故后稳态电力系统运行方式的安全性,以便预先使运行人员提高警惕或采取措施。
为了适应实时安全分析的要求,计算方法应该是快速的,而在计算精度上则只要求知晓元件过负荷的概略数值,因此直流法至今仍经常作为备选的一种潮流算法。
本文通过一个简单的例子来说明用直流法进行静态安全分析的步骤。
1 直流法潮流计算
支路ij的等值电路如图1所示。
由等值图,可得支路潮流为:
将实部、虚部分开:
在直流法潮流中,采用如下假定:
于是上式可以写成:

若用节点导纳矩阵中的互电导Bij表示,则



其中无对应于平衡节点S的相应行和相应列,它是一个(n-1)阶对称方阵。
直流模型是一组线性代数方程,用高斯消去法直接求解即可。
θ=B′-1 P
2 线路断开时,进行电力系统元件过载情况分析
在静态安全分析中,有时需要校验断开某一k-m支路(即节点k和m之间的支路)的有功功率潮流变化。显然,这时在B′中Bkm和Bmk两个非对角线元素以及Bkk和Bmm两个对角线元素发生变化。新的B′矩阵为:
式中:bkm——断开支路(k-m支路)的串联电抗倒数的负值,
M———第k个元素为1,第m个元素为-1,其余元素均为零时的行向量。
根据矩阵的反演公式可得:
这样,就可在断开线路后不重新形成B′矩阵而算出各母线的电压相位角为:
式中:θo———未断开k-m支路时,原始的节点电压相位角。
3 举例说明用直流法进行电力系统静态安全分析的步骤
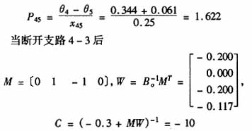
例:如图2所示电力系统接线图,取母线2为平衡节点。图上示出各支路的电抗(标么值)和各节点负荷(标么值)。支路4-5的极限负荷为2,试用直流法计算支路4-3断开后,支路4-5的过载情况。
解:有功功率潮流方程为:

所以正常通过支路4-5的有功功率为:
可得
因此,通过支路4-5的有功功率为:
已知支路4-5的极限负荷为2,所以在断开支路4-3后,支路4-5的过载为1。
4 结语
采用直流法时,要牺牲一定的计算精度,且不能用来校验节点电压值和支路电流,但可以快速校验断开线路时的线路过载情况,并可以得出消除过载的措施。
查看评论 回复









