信号完整性(五):信号反射 -
[导读]信号沿传输线向前传播时,每时每刻都会感受到一个瞬态阻抗,这个阻抗可能是传输线本身的,也可能是中途或末端其他元件的。对于信号来说,它不会区分到底是什么,信号所感受到的只有阻抗。如果信号感受到的阻抗是恒定的,那么他就会正常向前传播,只要感受到的阻抗发生变化,不论是什么引起的(可能是中途遇到的电阻,电容,电感,过孔,PCB转角,接插件),信号都会发生反射。
信号沿传输线向前传播时,每时每刻都会感受到一个瞬态阻抗,这个阻抗可能是传输线本身的,也可能是中途或末端其他元件的。对于信号来说,它不会区分到底是什么,信号所感受到的只有阻抗。如果信号感受到的阻抗是恒定的,那么他就会正常向前传播,只要感受到的阻抗发生变化,不论是什么引起的(可能是中途遇到的电阻,电容,电感,过孔,PCB转角,接插件),信号都会发生反射。
本文引用地址: http://www.21ic.com/app/eda/201701/701759.htm
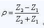
那么有多少被反射回传输线的起点?衡量信号反射量的重要指标是反射系数,表示反射电压和原传输信号电压的比值。反射系数定义为:

其中:Z1为变化前的阻抗,Z2为变化后的阻抗。假设PCB线条的特性阻抗为50欧姆,传输过程中遇到一个100欧姆的贴片电阻,暂时不考虑寄生电容电感的影响,把电阻看成理想的纯电阻,那么反射系数为:

信号有1/3被反射回源端。如果传输信号的电
压是3.3V电压,反射电压就是1.1V。
纯电阻性负载的反射是研究反射现象的基础,阻性负载的变化无非是以下四种情况:阻抗增加有限值、减小有限值、开路(阻抗变为无穷大)、短路(阻抗突然变为0)。
阻抗增加有限值:
反射电压上面的例子已经计算过了。这时,信号反射点处就会有两个电压成分,一部分是从源端传来的3.3V电压,另一部分是在反射电压1.1V,那么反射点处的电压为二者之和,即4.4V。
阻抗减小有限值:
仍按上面的例子,PCB线条的特性阻抗为50欧姆,如果遇到的电阻是30欧姆,则反射系数为
反射系数为负值,说明反射电压为
此时反射点电压为3.3V+(-0.825V)=2.475V。
开路:
开路相当于阻抗无穷大,反射系数按公式计算为1。即反射电压3.3V。反射点处电压为6.6V。可见,在这种极端情况下,反射点处电压翻倍了。
短路:
短路时阻抗为0,电压一定为0。按公式计算反射系数为-1,说明反射电压为-3.3V,因此反射点电压为0。
计算非常简单,重要的是必须知道,由于反射现象的存在,信号传播路径中阻抗发生变化的点,其电压不再是原来传输的电压。这种反射电压会改变信号的波形,从而可能会引起信号完整性问题。这种感性的认识对研究信号完整性及设计电路板非常重要,必须在头脑中建立起这个概念。
『本文转载自网络,版权归原作者所有,如有侵权请联系删除』
查看评论 回复









