电容的简化模型分析 -
来源: 网络用户发布,如有版权联系网管删除 2018-08-09
[导读]为了分析方便,在实际的分析应该中经常使用由串联等效电阻ESR、串联等效电感ESL、电容组成的
RLC模型。因为对电容的高频特性影响最大的则是ESR和ESL,我们通常采用下图中简化的实际模型进行分析:上式就是电容的容抗
为了分析方便,在实际的分析应该中经常使用由串联等效电阻ESR、串联等效电感ESL、电容组成的
RLC模型。因为对电容的高频特性影响最大的则是ESR和ESL,我们通常采用下图中简化的实际模型进行分析:
本文引用地址: http://www.21ic.com/app/eda/201207/132928.htm

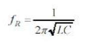
上式就是电容的容抗随频率变化的表达式,如果2πfLs=1/2πfC,那么|Z|min=Rs,此时:

画出电容的容抗的曲线的图如下:

从上图,我们很清楚的看出:电容在整个频段,并非都是表现为电容的特性,而是在低频的情况(谐振频
率以下),表现为电容性的器件,而当频率增加(超过谐振频率)的时候,它渐渐的表现为电感性的器件。
也就是说它的阻抗随着频率的增加先减小后增大,等效阻抗的最小值发生在串联谐振频率时,这时候,电
容的容抗和感抗正好抵消,表现为阻抗大小恰好等于寄生串联电阻ESR。
了解了上面的曲线,应该就不难理解在实际的应该中,我们的选择电容标准是:
1、尽可能低的ESR电容。
2、尽可能高的电容的谐振频率值。
查看评论 回复









