基于时差法的液压系统流量检测方法研究 -
[导读]基于超声波时差法,设计一种针对矿山机械液压系统流量的实时检测系统。该检测系统是以CPLD的MAXⅡ系列EPM240T100C5N为核心,实时检测液压系统的流量,以确保矿山机械液压系统的正常运转和矿下工作人员的人身安全,同时也便于液压系统故障诊断。
液压技术在矿山机械得到广泛应用,如矿山岩石钻进、铲装、运输、破碎及选矿等设备。但由于矿山机械大都工作在较恶劣环境下,易于产生液压系统故障,且液压系统属于封闭运行,故障大都在内部产生,故障位置比较隐蔽、原因复杂,因此难以发现故障,给矿山机械维护和矿下工作人员的安全造成隐患。流量是液压系统的重要参数之一,其大小直接反映液压系统运行状况的好坏。通过测量系统流量实现液压系统的实时监控,以保证液压系统的正常运转和矿下工作人员的安全,同时也便于诊断液压系统故障。因此检测矿山机械的液压系统的流量具有重要意义。
2 时差法测液压流量原理
时差法的测量原理为:超声波在流体中的传播速度与流体流动速度有关,据此可测量流量。在流速v的流动媒质的上、下游分别放置超声波换能器1和换能器2,结构如图1所示。
本文引用地址: http://www.21ic.com/app/eda/200903/33843.htm

换能器l和换能器2间距为L,管道直径为D,L与v之间的夹角为θ。当换能器2接收换能器1发送的超声脉冲时,超声沿L的传播速度为(c-v),其中c是静止媒质中的超声波速度。超声波逆流由换能器l传输到换能器2的时间为:
![]()
将换能器的接发功能调换,换能器2发送超声脉冲,换能器l接收超声波顺流由换能器2传输到换能器1的时间:
![]()
于是,逆流和顺流的时间差为:
![]()
因为超声波在液体里的传播速度为1500m/s,而流体速度在不是很高的情况下,可认为:
则式(3)化简为:
![]()
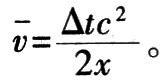
这样,液体平均流速v就可由声时差△t确定,即
在c和x恒定的前提下,v与△t成线性。再根据流量方程求出流量Q:
![]()
式中k为流速分布修正系数。
3 硬件系统设计
该检测系统的硬件系统设计主要由超声波换能器、CPLD功能、驱动发射、接收放大和过零比较等模块组成。系统工作时,单片机先向CPLD发送指令,CPLD的内部PULSE功能模块产生600 ns的驱动脉冲,同时CNT功能模块开始计时:驱动脉冲进入驱动发射电路使超声波换能器1产生超声波信号;超声波通过介质被超声波换能器2接收,接收到的信号比较微弱,需通过由LF357和LM318组成的三级接收放大电路对其放大;将放大信号再通过由MAX903组成过零比较电路,从而为CLPD中的CNT功能模块提供一个停止计时的高电平信号。将CNT中所计时的数据换算为时间,再由换能器2发送,换能器1接收。同理用CNT记录另外一组时间数据,二者相减得到顺流和逆流的声时差△t,从而计算出系统的流速和流量。该检测系统的关键是要得到准确的驱动脉冲和精确的顺逆流时间。所以,选用Aher公司CPLD的MAXⅡ系列EMP240T100C5N,并配有100 MHz的晶体振荡器,CPLD功能模块是该系统硬件设计的核心。
3.1 CPLD功能模块
CPLD功能模块主要由6个子模块组成,如图2所示。它们都是利用VHDL语言编写,各自的功能:DECODER子模块是将单片机的指令经过解码传输给CPLD内部各个子模块;CNT子模块负责计时;PULSE子模块产生驱动脉冲:CNT_SP子模块产生CNT的停止计时信号;SEL_2用于选取将CNT中的16位数据的前8位和后8位;TRIBUFFER可将SEL_2选择的8位数据传输给单片机。

其工作流程如下:通过单片机的P2端口使CPLD工作.由PULSE子模块发送特定脉冲信号驱动超声波换能器,CPLD在发射脉冲的同时CNT子模块开始计时,接收放大电路接收信号并经过零比较后,向CPLD的PULSE_ACT口提供停止计时的高电平信号。然后CPLD就将CNT中计时的16位数据以8位的形式通过SEL_2,TRIBUFFER再通过P0口上传给单片机.由单片机实现数据处理,最后上传或直接显示数据目。
3.2 CPLD中关键子模块的功能仿真
由于检测系统要求准确的驱动脉冲和精确的顺逆流时间,所以PULSE和CNT两个子模块成为设计的关键模块。这2个模块的设计好坏直接影响着整个系统性能,功能仿真和验证设计的可行性。
3.2.1 PULSE子模块仿真
根据频谱分析,驱动脉冲宽度与传感器频率之间存在最佳关系式,当脉冲宽度满足该关系式时,接收传感器的接收信号质量最佳。由于该设计采用2.5 MHz的超声换能器,经计算驱动脉冲最佳为600 ns。由于CPLD控制信号可以达到纳秒级的控制精度。因此可产生控制信号,既克服了模拟器件抗干扰性差的缺点,又解决了单片机信号精度差的问题。CPLD产生控制信号再经光电隔离进入驱动电路。从而控制150 V高压驱动超声发射传感器,驱动信号采用单脉冲驱动,如图3所示,EMP240T100C5N用100 MHz时钟晶体振荡器发送600 ns驱动脉冲信号。

3.2.2 CNT子模块仿真
超声波测流量系统的关键技术是对超声波在顺流和逆流这两种情况下的准确的计时。计时越精确所得时间差越准确,有利于后续流速和流量的计算。由于超声波的频率为2.5 MHz,所以需要计时器的工作频率与之相适应。该系统设计的CPLD采用100 MHz的有源晶体振荡器,时钟周期达到10 ns。计时原理为:当CPLD从开始发送脉冲信号时开始计数,当接收到脉冲信号时停止计数。通过换算,将CPLD所计的数值换算成超声波在液体中所用时间,从而实现计时功能,如图4所示。

4 结语
通过对关键子系统的功能仿真,可以看出CPLD关键子系统的设计满足整体设计的性能要求。在实际应用中CPLD也可以满足其设计要求。该超声波液压流量检测系统具有精度高,反应快,抗干扰能力强的功能.适用于较恶劣的环境,同时也便于诊断液压系统故障。
查看评论 回复









