绝代双骄.5V3A六级能效充电器套片方案

上期我们介绍了芯朋微热门产品PN8305M/H同步整流转换器,今天我们就为各位粉丝详细介绍PN8305与PN8386配合使用,轻松实现5V3A六级能效电源方案。
1.封装及脚位配置图
PN8386封装及脚位配置图

PN8386集成超低待机功耗准谐振原边控制器及690V高雪崩能力智能功率MOSFET,用于高性能、外围元器件精简的充电器、适配器和内置电源。PN8386为原边反馈工作模式,可省略光耦和TL431。内置高压启动电路,可实现芯片空载损耗(264VAC)小于50mW。
PN8305封装及脚位配置图

PN8305包括同步整流控制器及N型功率MOSFET,用于在高性能反激系统中替代次级整流肖特基二极管。PN8305内置电压降极低的功率MOSFET以提高电流输出能力,提升转换效率并降低芯片温度。
2.PCB及DEMO实物图

3.方案典型应用图

4.方案特性
PCBA尺寸:42.5mm*41.3mm*20mm
输入电压:90~265Vac全电压
输出电压:5V
输出电流:3A
平均效率:≥81.4%(满足六级能效要求)
高压启动待机功耗<75mW
启动时间:<200ms(90Vac)
拥有输出短路保护,输出过流保护,输出欠压保护(PCB端3.1V以下),VDD过压保护,FB分压电阻开路短路保护,以及电流检测电阻Rcs开短路保护,过温保护。
5.测试数据



备注:在CC工作状态下且系统PCB电压低于3.1V时,PN8386会进入保护状态。
6.EMC测试
EMI传导、辐射满足EN55022 Class B标准要求,裕量均大于6.0dB
ESD满足IEC61000-4-2,8kV/15kV等级要求
EFT满足IEC 61000-4-4: 2004,4kV等级要求
Surge满足IEC 61000-4-5:2005,1kV等级要求
交流绝缘满足3.75kV,60s, 漏电流小于5mA要求
7.应用要点

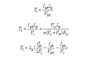
PN8386工作在DCM模式,忽略传输瞬态Tr和Tf,导通时间、去磁时间和振荡时间分别为:

PN8386在T2时间内间接采样输出电压信号,为减小漏感振荡对采样的影响,最小T2时间应足够长(5V3A应用建议大于3.2us):

备注:电源在小负载工况下,PN8386的Vcs=0.17V以避免音频噪音。
PN8305须在T2时间内完成Trench MOSFET的开通和关断,其最小导通时间由RT电阻设定:

因此,RT电阻建议取值为:

各位粉丝如需了解详情或申请样品使用,欢迎致电相关区域的技术应用联系人:
华南联系人: 汤先生 170 9342 4956
福建联系人: 郭先生 180 1558 2503
华东华北联系人:牟先生 158 6140 8376
访问官网
网址:www.chipown.com(←长按复制)了解更多,请访问官网!


查看评论 回复
