高效率高可靠性的推挽正激直流变换器 - 模拟电源 -
推挽正激变换器是低压大电流输入场合的理想拓扑之一,但其输出整流二极管上由于反向恢复产生很高的电压尖峰。这将导致整流二极管选取困难,并影响其使用寿命。研究了一种加无源无损缓冲吸收的推挽正激变换器,整流二极管上尖峰电压小,可靠性高。并给出了该变换器的工作原理和缓冲电容的参数设计,还通过lkW实验样机给出了加缓冲吸收电路前后的实验波形。样机取得了高效率和高可靠性。
关键词:缓冲吸收电路;电压尖峰;推挽正激;直流变换器
O 引言
在输入低压大电流场合,推挽正激变换器(Push-Pull Forward,PPF)因具有以下3方面的优点而得到广泛应用:
(1)输入滤波器的体积和重最小;
(2)箝位电容无损耗地抑制了功率管的电压尖峰;
(3)变压器磁芯利用率高。
在输出高电压时(本文为360V),变压器副边线圈匝数较多,副边漏感不可忽略。在整流二极管反向恢复时间内,整流二极管上存在很高的电压尖峰,给整流二极管的选取带来困难,并降低了整流二极管的可靠性。虽然RC或者RCD缓冲电路可以一定程度上抑制二极管的电压尖峰,但是电阻上损耗较大。文献[3]提出了一种简单的无源无损缓冲吸收电路,可以较好地抑制整流二极管的电压尖峰。
本文将该无损缓冲吸收电路应用于蓄电池供电的推挽正激变换器中,显著降低了整流二极管的电压尖峰。制作的原理样机电路结构简单,功率器件工作可靠性高,并且实现了高的整机变换效率。
工作原理
图l为加无损缓冲吸收的PPF电路。Ds1、Ds2分别为开关管S1、S2寄生的反并二极管,变压器的Np1=Np2=Np、Ns1=Ns2=Ns分别为原、副边的匝数,匝比n=Ns/Np,原边两个绕组的励磁电感均为Lm,Lo(图1中未标出)为变压器原边绕组的漏感.Lo’为
折算到变压器副边绕组的漏感,D5、D6、D7、C1、C2构成无损缓冲吸收电路,且C1=C2=Cc。变压器副边两个绕组的连接点与输出滤波电容C3和C4的中点相连,输出电压为±V0/2。

在分析电路原理前,假定:
(1)S1、S2,D1、D2、D3、D4导通压降忽略不计;
(2)箝位电容C较大,在稳态工作时两端电压保持为Vin不变;C3=C4=C0足够大,将它看作电压恒定为V0/2的电压源;L1=L2=L足够大,将它看作电流为I0的电流源;
(3)开关周期为Ts,S1、S2每个周期开通时间均为Ton,S1、S2工作的占空比D=Ton/Ts。
根据输出电感的伏秒积分平衡,可得变换器输入输出关系:V0=4nDVin。
图2为加无损缓冲吸收的PPF电路工作原理波形图,一共分为14个工作模态。 
(1)工作模态l[t0-t1] 如图3(a)所示,在t0以前,S1和S2都是关断的,输入电流沿回路Vin-Np-C-Np2环流,环流为Ia=2nDI0。原、副边绕组电压为零,整流二极管同时导通,iD1=iD2=I0/2。t0时刻,S1导通,Vin加在原边漏感Lo上,ip1迅速增加;Vc加在绕组的漏感上,ip2迅速减小并反向增人。同时,流过iD1、iD4的电流增大,流过iD2、iD3的电流减小,此过程持续到iD2减小到0并且增大到最大反向恢复电流时结束。模态l中,Vc1=Vc2=0,VD5=VD6=Vo/2,VD7=0。

(2)工作模态2[t0-t2] 如图3(b)所示,t1时刻,D2、D3中反向恢复电流达到最大值,D5、D6导通,D2、D3达到瞬时反向电压Vo,缓冲电容C1(C2)和副边漏感Lo’开始谐振。Vin、VC分别加在原边绕组Np1、Np2上,ip1正向增大,ip2减小并反向增大。

两端电压从零开始谐振增大,在半个谐振周期后达到最大值VC1max=VC2max=2nVin-Vo,此时模态2结束。模态2中,VD5=VD6=0,VD7=Vo。二极管D2、D3两端反向电压从V0逐渐增大VD2=VD3=4nVin-V0。
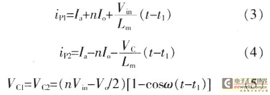
(3)工作模态3[t2-t3] 如图3(c)所示,t2时刻,D2、D3两端电压回落到稳态关断值2nVin,D5、D6关断。变压器原边工作的状况同模态2。当Vin≤Vo/n时,VC1=VC2=2nVin-Vo,VD5=VD6=nVin-Vo/2,VD7=2V。-2nVin;当Vin≥V。/n时.VD5=VD6=Vo/2。C1和C2在此工作模态一开始就向负载释放存储的部分能量,电压下降至VC1=VC2=nVin,此时VD7=O。
(4)工作模态4[t3-t5] 如图3(d)所示,t3时刻,S1关断,此前ip1始终大于ip2,因此在S1关断瞬间S2的反并二极管DS2导通,此时,S1两端的电压被箝位到Vin+Vc=2Vin;绕组Np1中的漏感能量通过低阻抗回路Np1-c-Ds2释放到箝位电容C中,绕组Np2中的漏感能量通过回路Np2-Ds2一Cin释放到Cin中。同时,流过D1、D4中的电流减小,D7导通,C1、C2提供部分负载电流;直到t4时刻,D1、D4完全关断,C1和C2提供全部负载电流。在该模态中,ip1不断减小,ip2不断正向增大,当ip1=ip2时,Ds2自然关断,该工作模态结束。该模态中VD7=0,VD5=VD6=Vo/2。
(5)工作模态5[t5-t6] 如图3(e)所示,t5时刻,D2和S2都关断。在该模态中,环流Ia=ip1=ip2=2nDI。经过回路Vin-Np1-C-Np2给箝位电容C充电。副边整流二极管全部关断,C1和C2按照关系式(7)继续给负载放电,提供全部的负载电流;VD5=VD6=Vo/2,VD7=O。当C1、C2放电为零时,该模态结束。

(6)工作模态6[t6-t7] 如图3(f)所示,t6时刻,C1和C2放电为零,副边整流二极管全部导通续流,iD1=iD2=Io/2。此时原边开关管都处于关断阶段,环流Ia基本保持不变。VD7=O,VC1=VC2=0,VD5=VD6=Vo/2。
(7)工作模态7[t7-t14]
t7时刻,S2导通,开始下半个周期的工作,工作模态和上半个周期相同,只是励磁电流的方向相反,完成变压器的去磁。

2 缓冲吸收电路参数设计
缓冲电容的选取直接关系到整流二极管电压尖峰的抑制效果。由前面模态2分析可知,缓冲电容若选取过小,谐振周期过短,尖峰抑制效果不明显;若选取过大,虽然可以很好地抑制电压尖峰,但是缓冲电容充放电时间过长,将影响PPF电路正常工作模态,甚至占据整个二极管的续流过程,引起原边开关管电流尖峰过大。实际在选取缓冲电容Cc时使谐振周期满足式(8)条件:
![]()
3 实验结果
为了验证无损缓冲电路的尖峰吸收过程,研制了一台1 000W的实验样机。实验参数确定为:Vin=18V~32V,Vo=360V,n=9.5,C=33.3μF,L1=L2=320μH,C1=C2=4.7nF,C3=C4=470μF,Ts=20μs。S1和S2为FQAl40N10;D1、D2、D3、D4采用CSD10120,D5、D6、D7采用DSE112-06。
图4(a)和图4(b)给出了在额定输入27V、输出l 000W时,不加缓冲电路和加缓冲电路时整流二极管vD1的电压波形。从实验波形中可以看出,加缓冲电路后,vD1的电压尖峰减小了300V左右,表明缓冲电路对整流二极管的电压尖峰具有很好的抑制作用。图4(b)中,S1关断后,在4个整流管都续流前,vD1波形有一小段突起,对应的是缓冲电容C1和C2给负载放电的过程。

图5给出了缓冲电路各器件的电压波形,波形从上往下依次是vgsl、vC1、vD7、vD5。当任何一个开关管开通时,缓冲电容充电,抑制了关断整流管的电压尖峰;当任何一个开关管关断时,缓冲电容给负载释放能量,然后4个整流二极管均导通续流。整流二极管和缓冲二极管上振荡周期均为
和缓冲电容无关。其中,CD为整流二极管导通时的等效结电容。
图6为该变换器在24V、27V、30V输入时对应不同输出功率的的效率分布曲线图。其中输入电压为24V,输出功率600W时最高效率可达93.1%,27V满载1 000W时效率为92.8%。
4 结语
本文研究了一种高效率高可靠性的推挽正激直流变换器。针对整流二极管上的电压尖峰高,应用了一种无源无损的缓冲吸收电路,可以很好地抑制整流二极管上的电压尖峰。详细地分析了该推挽正激直流变换器的工作原理,给出了缓冲电路的参数设汁,并通过研制的1kW实验样机,验证了该缓冲吸收电路良好的尖峰抑制效果,从而提高了整流二极管工作时的可靠性。同时,实验样机也取得了高效率。
查看评论 回复









